This table shows for the 562 problems of the CNF_UNS_RFO_NEQ_HRN specialist class of TPTP 8.0.0 the proving time and compacted size of proofs by CCS in different configurations with exhaustive search.
For comparison, also known results for provers based on clausal tableaux, the connection method or model elimination are shown.
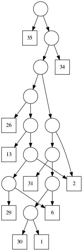
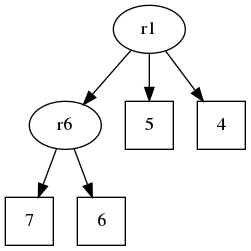
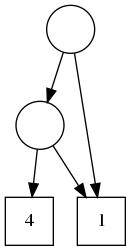
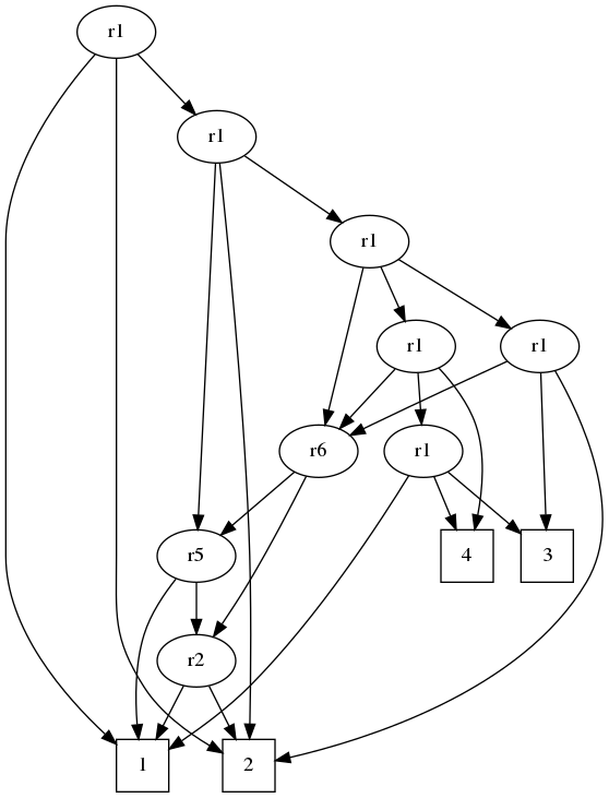
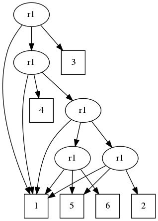
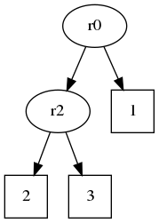
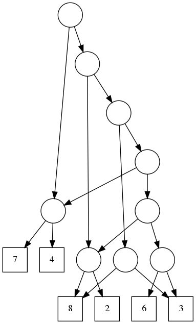
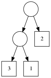
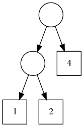
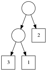
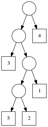
r0-r6 are
specified. These are defined as follows (in Prolog notation):
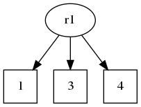
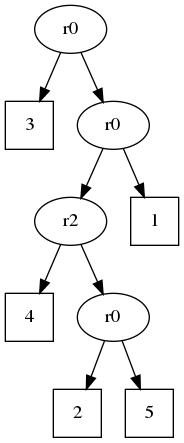
(r0(P:1,Q:0):0)-[P,Q]
(r1(P:2,Q:0,R:0):0)-[[P,Q],R]
(r2(P:2,Q:0):1)-[P,Q]
(r3(P:2,Q:0):1)-[[c,P],Q]
(r4(P:1,Q:1):1)-[[b,P],Q]
(r5(P:2,Q:1):2)-[[b,P],Q]
(r6(P:2,Q:1):2)-[[b,[c,P]],Q]r0, r2, r4, r6.
Highlighting indicates use of r4
or r6.
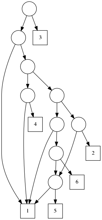
r1, r2, r4, r5, r6.
Highlighting indicates use of r4, r5
or r6.
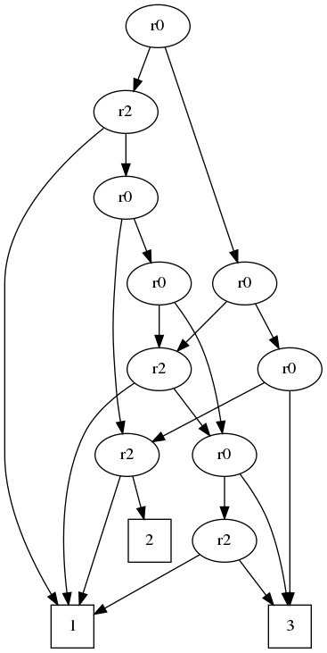
r1, r2, r3, r4,
r5, r6.
Highlighting indicates use of r3, r4,
r5 or r6.
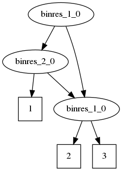
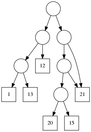
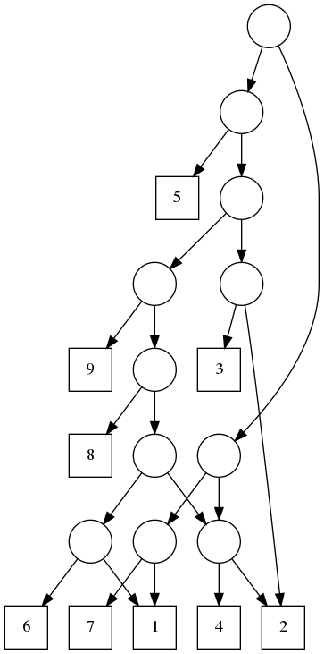
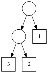
shuffle proof schema, which expresses re-ordering of atoms in a
clause body.
ProblemAndSolutionStatistics
document of TPTP 8.0.0.
ProblemAndSolutionStatistics
document of TPTP 8.0.0.
ProblemAndSolutionStatistics
document of TPTP 8.0.0.
| Problem | Rating | CM-TABX | H-1-5 | H-1 | H-2 | H-3 | H-4 | H-5 | H-6 | H-7 | H-8 | H-9 | CMProver | SETHEOs | lazyCop 0.1 | SATCop 0.1 | |||||||||
|---|---|---|---|---|---|---|---|---|---|---|---|---|---|---|---|---|---|---|---|---|---|---|---|---|---|
| Totals of 562: | 430 | 421 | 413 | 390 | 250 | 239 | 236 | 327 | 365 | 355 | 351 | 414 | 387 | 338 | 394 | ||||||||||
| ANA013-2 | 0.00 | • | 0.06 | 0.06 | 2 | 0.10 | 2 | 0.06 | 2 | 0.06 | 2 | 0.06 | 2 | 0.06 | 2 | 0.06 | 2 | • | • | • | • | ||||
| ANA037-2 | 0.00 | • | 0.06 | 0.06 | 6 | 0.10 | 10 | 0.48 | 10 | 0.06 | 10 | 0.07 | 10 | 0.08 | 10 | • | • | • | • | ||||||
| ANA038-2 | 0.00 | • | 0.06 | 0.06 | 6 | 0.10 | 10 | 0.47 | 10 | 0.06 | 10 | 0.07 | 10 | 0.08 | 10 | • | • | • | • | ||||||
| ANA039-2 | 0.00 | • | 0.06 | 0.06 | 7 | 0.11 | 11 | 2.24 | 11 | 0.06 | 11 | 0.07 | 11 | 0.34 | 11 | • | • | • | • | ||||||
| ANA041-2 | 0.00 | • | 0.06 | 0.06 | 0 | 0.11 | 0 | 0.06 | 0 | 0.07 | 0 | 0.06 | 0 | 0.06 | 0 | 0.06 | 0 | 0.06 | 0 | 0.06 | 0 | • | • | • | • |
| ANA042-2 | 0.00 | • | 0.06 | 0.06 | 0 | 0.10 | 0 | 0.06 | 0 | 0.06 | 0 | 0.08 | 0 | 0.06 | 0 | 0.06 | 0 | 0.06 | 0 | 0.06 | 0 | • | • | • | • |
| COL101-2 | 0.00 | • | 0.06 | 0.06 | 0 | 0.11 | 0 | 0.06 | 0 | 0.06 | 0 | 0.06 | 0 | 0.05 | 0 | 0.06 | 0 | 0.06 | 0 | 0.06 | 0 | • | • | • | • |
| COL102-2 | 0.00 | • | 0.06 | 0.06 | 3 | 0.11 | 4 | 0.06 | 4 | 0.07 | 3 | 0.06 | 3 | 0.06 | 4 | 0.06 | 4 | 0.06 | 4 | 0.06 | 4 | • | • | • | • |
| COL104-2 | 0.00 | • | 0.06 | 0.06 | 3 | 0.10 | 4 | 0.06 | 4 | 0.07 | 3 | 0.06 | 3 | 0.06 | 4 | 0.06 | 4 | 0.06 | 4 | 0.06 | 4 | • | • | • | • |
| COL105-2 | 0.00 | • | 0.06 | 0.06 | 1 | 0.09 | 2 | 0.06 | 2 | 0.06 | 1 | 0.06 | 1 | 0.06 | 2 | 0.06 | 2 | 0.06 | 2 | 0.06 | 2 | • | • | • | • |
| COL109-2 | 0.00 | • | 0.06 | 0.06 | 4 | 0.06 | 7 | 0.06 | 7 | 0.06 | 4 | 0.06 | 4 | 0.06 | 7 | 0.06 | 7 | 0.06 | 7 | 0.06 | 7 | • | • | • | • |
| COL110-2 | 0.00 | • | 0.06 | 0.06 | 7 | 0.06 | 10 | 0.09 | 10 | 0.07 | 7 | 0.08 | 7 | 0.20 | 10 | 0.06 | 10 | 0.08 | 10 | 0.09 | 10 | • | • | • | • |
| COL111-2 | 0.00 | • | 0.06 | 0.06 | 1 | 0.06 | 2 | 0.06 | 2 | 0.06 | 1 | 0.07 | 1 | 0.06 | 2 | 0.06 | 2 | 0.06 | 2 | 0.06 | 2 | • | • | • | • |
| COL112-2 | 0.00 | • | 0.06 | 0.06 | 1 | 0.06 | 2 | 0.06 | 2 | 0.06 | 1 | 0.06 | 1 | 0.06 | 2 | 0.06 | 2 | 0.06 | 2 | 0.06 | 2 | • | • | • | • |
| COL113-2 | 0.00 | • | 0.06 | 0.06 | 0 | 0.06 | 0 | 0.06 | 0 | 0.06 | 0 | 0.06 | 0 | 0.06 | 0 | 0.06 | 0 | 0.06 | 0 | 0.06 | 0 | • | • | • | • |
| COL114-2 | 0.00 | • | 0.06 | 0.06 | 1 | 0.06 | 2 | 0.06 | 2 | 0.06 | 1 | 0.06 | 1 | 0.06 | 2 | 0.06 | 2 | 0.06 | 2 | 0.06 | 2 | • | • | • | • |
| COL115-2 | 0.00 | • | 0.06 | 0.06 | 1 | 0.06 | 2 | 0.06 | 2 | 0.06 | 1 | 0.06 | 1 | 0.06 | 2 | 0.06 | 2 | 0.06 | 2 | 0.06 | 2 | • | • | • | • |
| COL116-2 | 0.00 | • | 0.06 | 0.06 | 0 | 0.06 | 0 | 0.06 | 0 | 0.06 | 0 | 0.07 | 0 | 0.05 | 0 | 0.06 | 0 | 0.06 | 0 | 0.06 | 0 | • | • | • | • |
| COL117-2 | 0.00 | • | 0.06 | 0.06 | 4 | 0.06 | 7 | 0.06 | 7 | 0.06 | 4 | 0.06 | 4 | 0.06 | 7 | 0.06 | 7 | 0.06 | 7 | 0.06 | 7 | • | • | • | • |
| COL118-2 | 0.00 | • | 0.06 | 0.06 | 2 | 0.06 | 4 | 0.06 | 4 | 0.06 | 2 | 0.06 | 2 | 0.06 | 4 | 0.06 | 4 | 0.06 | 4 | 0.06 | 4 | • | • | • | • |
| COL119-2 | 0.00 | • | 0.06 | 0.06 | 1 | 0.06 | 2 | 0.06 | 2 | 0.06 | 1 | 0.06 | 1 | 0.06 | 2 | 0.06 | 2 | 0.06 | 2 | 0.06 | 2 | • | • | • | • |
| COL120-2 | 0.00 | • | 0.06 | 0.06 | 1 | 0.06 | 2 | 0.06 | 2 | 0.06 | 1 | 0.06 | 1 | 0.06 | 2 | 0.06 | 2 | 0.06 | 2 | 0.06 | 2 | • | • | • | • |
| COL121-2 | 0.00 | • | 0.06 | 0.06 | 7 | 0.11 | 13 | 827.93 | 13 | 0.35 | 13 | 3.21 | 13 | 143.96 | 13 | • | • | • | • | ||||||
| COL122-2 | 0.00 | • | 0.06 | 0.06 | 1 | 0.06 | 2 | 0.06 | 2 | 0.06 | 1 | 0.06 | 1 | 0.06 | 2 | 0.06 | 2 | 0.06 | 2 | 0.06 | 2 | • | • | • | • |
| COL123-2 | 0.00 | • | 0.06 | 0.06 | 7 | 0.07 | 11 | 0.56 | 11 | 0.82 | 8 | 1.34 | 8 | 2.83 | 11 | 0.10 | 11 | 0.21 | 11 | 0.54 | 11 | • | • | • | • |
| COL124-2 | 0.00 | • | 0.06 | 0.06 | 1 | 0.06 | 2 | 0.06 | 2 | 0.06 | 1 | 0.06 | 1 | 0.06 | 2 | 0.06 | 2 | 0.06 | 2 | 0.06 | 2 | • | • | • | • |
| COM001-1 | 0.00 | • | 0.06 | 0.06 | 3 | 0.06 | 5 | 0.06 | 5 | 0.06 | 3 | 0.06 | 3 | 0.06 | 5 | 0.06 | 5 | 0.06 | 5 | 0.06 | 5 | • | • | • | • |
| COM002-1 | 0.00 | • | 0.06 | 0.06 | 7 | 0.07 | 11 | 0.14 | 9 | 0.07 | 5 | 0.07 | 5 | 0.78 | 10 | 0.08 | 11 | 0.22 | 11 | 1.14 | 11 | • | • | • | • |
| GEO002-4 | 0.00 | • | 7.16 | 15.62 | 8 | 7.16 | 13 | 29.89 | 8 | 39.07 | 8 | 50.19 | 13 | 171.13 | 13 | 325.17 | 13 | • | |||||||
| GRP003-1 | 0.00 | • | 0.05 | 0.05 | 2 | 0.06 | 6 | 0.06 | 6 | 0.06 | 6 | 0.06 | 6 | 0.06 | 6 | • | • | • | • | ||||||
| GRP003-2 | 0.00 | • | 0.06 | 0.06 | 2 | 0.06 | 6 | 0.06 | 6 | 0.06 | 6 | 0.06 | 6 | 0.06 | 6 | • | • | • | • | ||||||
| GRP004-1 | 0.00 | • | 0.05 | 0.05 | 2 | 0.06 | 6 | 0.06 | 6 | 0.06 | 6 | 0.06 | 6 | 0.06 | 6 | • | • | • | • | ||||||
| GRP004-2 | 0.00 | • | 0.06 | 0.06 | 2 | 0.06 | 6 | 0.06 | 6 | 0.06 | 6 | 0.06 | 6 | 0.06 | 6 | • | • | • | • | ||||||
| GRP005-1 | 0.00 | • | 0.06 | 0.06 | 1 | 0.06 | 3 | 0.06 | 3 | 0.06 | 3 | 0.06 | 3 | 0.06 | 3 | • | • | • | • | ||||||
| GRP006-1 | 0.00 | • | 0.06 | 0.06 | 2 | 0.06 | 6 | 0.06 | 6 | 0.06 | 6 | 0.06 | 6 | 0.06 | 6 | • | • | • | • | ||||||
| GRP028-1 | 0.00 | • | 0.06 | 0.06 | 1 | 0.06 | 3 | 0.06 | 3 | 0.06 | 3 | 0.06 | 3 | 0.06 | 3 | • | • | • | • | ||||||
| GRP028-3 | 0.00 | • | 0.06 | 0.06 | 1 | 0.06 | 3 | 0.06 | 3 | 0.06 | 3 | 0.06 | 3 | 0.06 | 3 | • | • | • | • | ||||||
| GRP028-4 | 0.00 | • | 0.06 | 0.06 | 1 | 0.06 | 3 | 0.06 | 3 | 0.06 | 3 | 0.06 | 3 | 0.06 | 3 | • | • | • | • | ||||||
| GRP029-2 | 0.00 | • | 0.06 | 0.06 | 2 | 0.08 | 6 | 0.35 | 6 | 0.07 | 6 | 0.07 | 6 | 0.07 | 6 | • | • | • | • | ||||||
| GRP031-2 | 0.00 | • | 0.06 | 0.06 | 2 | 0.06 | 6 | 0.06 | 6 | 0.06 | 6 | 0.06 | 6 | 0.06 | 6 | • | • | • | • | ||||||
| GRP033-3 | 0.00 | • | 0.06 | 0.06 | 2 | 0.06 | 6 | 0.06 | 6 | 0.06 | 6 | 0.06 | 6 | 0.06 | 6 | • | • | • | • | ||||||
| GRP034-4 | 0.00 | • | 0.06 | 0.06 | 2 | 0.06 | 5 | 0.06 | 5 | 0.06 | 6 | 0.06 | 6 | 0.06 | 6 | • | • | • | • | ||||||
| GRP041-2 | 0.00 | • | 0.06 | 0.06 | 1 | 0.06 | 2 | 0.06 | 2 | 0.06 | 1 | 0.06 | 1 | 0.06 | 2 | 0.06 | 2 | 0.06 | 2 | 0.06 | 2 | • | • | • | • |
| GRP042-2 | 0.00 | • | 0.06 | 0.06 | 2 | 0.06 | 4 | 0.06 | 4 | 0.06 | 2 | 0.06 | 2 | 0.06 | 4 | 0.06 | 4 | 0.06 | 4 | 0.06 | 4 | • | • | • | • |
| GRP043-2 | 0.00 | • | 0.06 | 0.06 | 3 | 0.06 | 6 | 0.06 | 6 | 0.06 | 3 | 0.06 | 3 | 0.06 | 6 | 0.06 | 6 | 0.06 | 6 | 0.06 | 6 | • | • | • | • |
| GRP044-2 | 0.00 | • | 0.06 | 0.06 | 2 | 0.06 | 5 | 0.06 | 5 | 0.06 | 5 | 0.06 | 5 | 0.06 | 5 | • | • | • | • | ||||||
| GRP045-2 | 0.00 | • | 0.06 | 0.06 | 3 | 0.08 | 8 | 0.31 | 8 | 0.08 | 8 | 0.09 | 8 | 0.08 | 8 | • | • | • | • | ||||||
| GRP046-2 | 0.00 | • | 0.06 | 0.06 | 3 | 0.06 | 7 | 0.07 | 7 | 0.06 | 7 | 0.06 | 7 | 0.06 | 7 | • | • | • | • | ||||||
| GRP047-2 | 0.00 | • | 0.10 | 0.10 | 4 | 0.15 | 9 | 0.97 | 9 | 0.18 | 9 | 0.22 | 9 | 0.21 | 9 | • | • | • | • | ||||||
| GRP048-2 | 0.00 | • | 155.26 | 155.26 | 6 | • | |||||||||||||||||||
| LAT270-2 | 0.00 | • | 0.05 | 0.05 | 1 | 0.06 | 3 | 0.06 | 3 | 0.06 | 3 | 0.06 | 3 | 0.06 | 3 | • | • | • | • | ||||||
| LAT272-2 | 0.00 | • | 0.06 | 0.06 | 1 | 0.06 | 2 | 0.06 | 2 | 0.06 | 1 | 0.06 | 1 | 0.06 | 2 | 0.06 | 2 | 0.06 | 2 | 0.06 | 2 | • | • | • | • |
| LCL002-1 | 0.00 | ||||||||||||||||||||||||
| LCL003-1 | 0.00 | ||||||||||||||||||||||||
| LCL004-1 | 0.00 | • | 105.21 | 105.21 | 13 | • | |||||||||||||||||||
| LCL005-1 | 0.00 | ||||||||||||||||||||||||
| LCL006-1 | 0.00 | • | 0.06 | 0.06 | 5 | 0.33 | 10 | 41.39 | 10 | 0.07 | 5 | 0.07 | 5 | 26.96 | 9 | 0.50 | 10 | 0.93 | 10 | 0.78 | 10 | • | • | • | • |
| LCL007-1 | 0.00 | • | 0.06 | 0.06 | 1 | 0.06 | 2 | 0.06 | 2 | 0.06 | 1 | 0.06 | 1 | 0.06 | 2 | 0.06 | 2 | 0.06 | 2 | 0.06 | 2 | • | • | • | • |
| LCL008-1 | 0.00 | • | 0.06 | 0.06 | 5 | 0.06 | 8 | 0.07 | 8 | 0.08 | 5 | 0.06 | 5 | 0.06 | 7 | 0.06 | 8 | 0.06 | 8 | 0.06 | 8 | • | • | • | • |
| LCL009-1 | 0.00 | • | 0.08 | 0.08 | 7 | 0.24 | 12 | 10.58 | 11 | 0.13 | 7 | 0.18 | 7 | 32.79 | 10 | 0.43 | 12 | 1.15 | 12 | 4.12 | 12 | • | • | • | |
| LCL010-1 | 0.00 | • | 0.06 | 0.06 | 5 | 0.06 | 10 | 0.10 | 9 | 0.06 | 5 | 0.06 | 5 | 0.09 | 8 | 0.06 | 10 | 0.07 | 10 | 0.08 | 10 | • | • | • | • |
| LCL011-1 | 0.00 | • | 0.09 | 0.09 | 7 | 0.12 | 11 | 0.80 | 10 | 0.12 | 7 | 0.17 | 7 | 5.46 | 10 | 0.13 | 11 | 0.21 | 11 | 0.39 | 11 | • | • | • | |
| LCL012-1 | 0.00 | ||||||||||||||||||||||||
| LCL013-1 | 0.00 | • | 0.06 | 0.06 | 2 | 0.06 | 4 | 0.06 | 4 | 0.06 | 2 | 0.06 | 2 | 0.06 | 4 | 0.06 | 4 | 0.06 | 4 | 0.06 | 4 | • | • | • | • |
| LCL014-1 | 0.00 | • | 13.71 | 13.71 | 10 | 93.05 | 15 | 230.75 | 10 | 486.59 | 10 | 1,406.34 | 15 | 1,961.96 | 14 | • | |||||||||
| LCL015-1 | 0.00 | ||||||||||||||||||||||||
| LCL016-1 | 0.00 | ||||||||||||||||||||||||
| LCL017-1 | 0.00 | ||||||||||||||||||||||||
| LCL018-1 | 0.00 | ||||||||||||||||||||||||
| LCL019-1 | 0.00 | ||||||||||||||||||||||||
| LCL021-1 | 0.00 | ||||||||||||||||||||||||
| LCL022-1 | 0.00 | • | 0.12 | 0.41 | 8 | 0.22 | 12 | 0.12 | 9 | 0.34 | 7 | 0.39 | 7 | 0.40 | 9 | 0.08 | 10 | 0.19 | 10 | 0.11 | 10 | • | • | • | |
| LCL023-1 | 0.00 | • | 0.07 | 0.07 | 7 | 0.07 | 10 | 0.41 | 9 | 0.11 | 7 | 0.15 | 7 | 0.100 | 9 | 0.08 | 10 | 0.10 | 10 | 0.11 | 10 | • | • | • | |
| LCL024-1 | 0.00 | • | 10.58 | 12.30 | 10 | 10.58 | 14 | 308.41 | 10 | 622.62 | 10 | 37.84 | 14 | 127.50 | 14 | 2,019.12 | 14 | • | |||||||
| LCL025-1 | 0.00 | • | 0.15 | 0.15 | 6 | 0.39 | 11 | 46.68 | 10 | 0.21 | 6 | 0.26 | 6 | 6.05 | 9 | 0.34 | 10 | 3.35 | 11 | 0.96 | 10 | • | • | • | • |
| LCL026-1 | 0.00 | ||||||||||||||||||||||||
| LCL027-1 | 0.00 | • | 0.05 | 0.05 | 3 | 0.06 | 6 | 0.06 | 6 | 0.06 | 3 | 0.06 | 3 | 0.07 | 6 | 0.06 | 6 | 0.06 | 6 | 0.06 | 6 | • | • | • | • |
| LCL029-1 | 0.00 | • | 7.77 | 7.77 | 7 | 7.80 | 12 | 2,269.01 | 11 | 11.79 | 7 | 16.13 | 7 | 305.04 | 10 | 30.11 | 12 | 17.23 | 11 | 3.21 | 10 | • | • | ||
| LCL030-1 | 0.00 | • | 50.63 | 50.63 | 8 | 91.08 | 13 | 161.35 | 8 | 277.29 | 8 | 342.39 | 13 | 867.01 | 13 | 1,140.66 | 13 | • | |||||||
| LCL032-1 | 0.00 | ||||||||||||||||||||||||
| LCL033-1 | 0.00 | • | 0.06 | 0.06 | 6 | 0.06 | 9 | 0.08 | 8 | 0.07 | 6 | 0.07 | 6 | 1.04 | 9 | 0.07 | 9 | 0.07 | 9 | 0.07 | 9 | • | • | • | • |
| LCL034-1 | 0.00 | ||||||||||||||||||||||||
| LCL035-1 | 0.00 | • | 0.06 | 0.06 | 5 | 0.06 | 9 | 0.06 | 6 | 0.06 | 5 | 0.06 | 5 | 0.06 | 7 | 0.06 | 9 | 0.07 | 9 | 0.07 | 9 | • | • | • | • |
| LCL036-1 | 0.00 | 210.45 | 738.68 | 11 | 210.45 | 10 | 443.67 | 10 | |||||||||||||||||
| LCL038-1 | 0.00 | ||||||||||||||||||||||||
| LCL040-1 | 0.00 | • | 10.09 | 14.35 | 8 | 19.49 | 13 | 1,497.65 | 11 | 10.09 | 7 | 14.94 | 7 | 117.54 | 10 | 16.96 | 12 | 51.94 | 12 | 17.77 | 11 | • | • | ||
| LCL041-1 | 0.00 | • | 0.06 | 0.06 | 3 | 0.06 | 5 | 0.06 | 5 | 0.06 | 3 | 0.06 | 3 | 0.06 | 5 | 0.06 | 5 | 0.06 | 5 | 0.06 | 5 | • | • | • | • |
| LCL042-1 | 0.00 | • | 46.97 | 493.60 | 8 | 46.97 | 12 | 134.35 | 7 | 178.67 | 7 | 1,250.34 | 10 | 74.25 | 12 | 161.29 | 12 | 154.33 | 12 | • | • | ||||
| LCL043-1 | 0.00 | • | 0.06 | 0.06 | 2 | 0.06 | 4 | 0.06 | 4 | 0.06 | 2 | 0.06 | 2 | 0.06 | 4 | 0.06 | 4 | 0.06 | 4 | 0.06 | 4 | • | • | • | • |
| LCL044-1 | 0.00 | • | 0.06 | 0.06 | 3 | 0.06 | 6 | 0.06 | 6 | 0.06 | 3 | 0.06 | 3 | 0.07 | 6 | 0.06 | 6 | 0.06 | 6 | 0.06 | 6 | • | • | • | • |
| LCL045-1 | 0.00 | • | 0.12 | 0.12 | 5 | 0.22 | 9 | 6.88 | 9 | 0.13 | 5 | 0.15 | 5 | 43.96 | 9 | 0.25 | 9 | 0.36 | 9 | 0.36 | 9 | • | • | • | • |
| LCL046-1 | 0.00 | • | 0.06 | 0.06 | 2 | 0.06 | 4 | 0.06 | 4 | 0.06 | 2 | 0.06 | 2 | 0.06 | 4 | 0.06 | 4 | 0.06 | 4 | 0.06 | 4 | • | • | • | • |
| LCL047-1 | 0.00 | ||||||||||||||||||||||||
| LCL048-1 | 0.00 | ||||||||||||||||||||||||
| LCL049-1 | 0.00 | ||||||||||||||||||||||||
| LCL050-1 | 0.00 | ||||||||||||||||||||||||
| LCL051-1 | 0.00 | ||||||||||||||||||||||||
| LCL052-1 | 0.00 | ||||||||||||||||||||||||
| LCL053-1 | 0.00 | ||||||||||||||||||||||||
| LCL054-1 | 0.00 | ||||||||||||||||||||||||
| LCL055-1 | 0.00 | ||||||||||||||||||||||||
| LCL056-1 | 0.00 | ||||||||||||||||||||||||
| LCL057-1 | 0.00 | ||||||||||||||||||||||||
| LCL058-1 | 0.00 | ||||||||||||||||||||||||
| LCL059-1 | 0.00 | • | • | ||||||||||||||||||||||
| LCL060-1 | 0.00 | ||||||||||||||||||||||||
| LCL064-1 | 0.00 | • | 0.15 | 0.15 | 6 | 0.34 | 11 | 37.23 | 10 | 0.21 | 6 | 0.26 | 6 | 5.25 | 9 | 0.30 | 10 | 2.78 | 11 | 0.90 | 10 | • | • | • | • |
| LCL064-2 | 0.00 | • | 0.09 | 0.09 | 6 | 0.14 | 11 | 7.83 | 10 | 0.12 | 6 | 0.14 | 6 | 1.19 | 9 | 0.13 | 10 | 0.48 | 11 | 0.44 | 10 | • | • | • | • |
| LCL065-1 | 0.00 | • | 0.20 | 0.27 | 7 | 0.20 | 11 | 32.29 | 10 | 0.95 | 7 | 1.77 | 7 | 27.02 | 9 | 0.69 | 11 | 2.08 | 11 | 2.84 | 11 | • | • | ||
| LCL066-1 | 0.00 | • | 0.28 | 0.35 | 7 | 0.28 | 11 | 34.24 | 10 | 1.10 | 7 | 2.03 | 7 | 5.10 | 9 | 0.27 | 10 | 2.50 | 11 | 0.84 | 10 | • | • | • | • |
| LCL067-1 | 0.00 | • | 250.63 | 867.74 | 10 | 250.63 | 15 | • | • | ||||||||||||||||
| LCL068-1 | 0.00 | ||||||||||||||||||||||||
| LCL069-1 | 0.00 | • | 1.89 | 1.89 | 8 | 3.87 | 13 | 2.21 | 7 | 4.31 | 7 | 34.09 | 13 | 124.74 | 13 | 305.80 | 13 | • | • | ||||||
| LCL070-1 | 0.00 | • | 241.38 | 241.38 | 10 | 343.64 | 15 | • | • | ||||||||||||||||
| LCL071-1 | 0.00 | • | • | ||||||||||||||||||||||
| LCL072-1 | 0.00 | • | 0.29 | 0.29 | 7 | 5.11 | 13 | 0.73 | 7 | 1.42 | 7 | 34.99 | 13 | 124.68 | 13 | 289.37 | 13 | • | • | ||||||
| LCL075-1 | 0.00 | • | 0.12 | 0.18 | 8 | 0.12 | 11 | 1.31 | 10 | 0.27 | 7 | 0.50 | 7 | 33.95 | 10 | 0.17 | 11 | 0.34 | 11 | 0.44 | 11 | • | |||
| LCL076-1 | 0.00 | • | 0.17 | 0.17 | 7 | 0.41 | 11 | 630.78 | 11 | 0.62 | 7 | 1.15 | 7 | 0.92 | 11 | 2.38 | 11 | 3.08 | 11 | • | • | ||||
| LCL076-2 | 0.00 | • | 0.05 | 0.05 | 1 | 0.06 | 2 | 0.06 | 2 | 0.06 | 1 | 0.06 | 1 | 0.06 | 2 | 0.06 | 2 | 0.06 | 2 | 0.06 | 2 | • | • | • | • |
| LCL076-3 | 0.00 | • | 0.07 | 0.07 | 5 | 0.56 | 10 | 4.27 | 9 | 0.08 | 5 | 0.09 | 5 | 39.44 | 9 | 0.83 | 10 | 1.54 | 10 | 1.49 | 10 | • | • | • | • |
| LCL077-1 | 0.00 | • | 0.07 | 0.07 | 6 | 0.09 | 10 | 32.45 | 10 | 0.11 | 6 | 0.15 | 6 | 29.94 | 9 | 0.16 | 10 | 0.36 | 10 | 0.41 | 10 | • | • | ||
| LCL077-2 | 0.00 | • | 0.06 | 0.06 | 4 | 0.08 | 8 | 0.14 | 7 | 0.06 | 4 | 0.07 | 4 | 1.86 | 8 | 0.09 | 8 | 0.10 | 8 | 0.10 | 8 | • | • | • | • |
| LCL079-1 | 0.00 | • | 0.06 | 0.06 | 3 | 0.06 | 6 | 0.06 | 6 | 0.06 | 3 | 0.06 | 3 | 0.06 | 6 | 0.06 | 6 | 0.06 | 6 | 0.06 | 6 | • | • | • | • |
| LCL080-1 | 0.00 | • | 303.24 | 323.68 | 9 | 303.24 | 14 | 345.00 | 8 | 545.96 | 8 | 1,216.21 | 14 | 992.55 | 13 | • | • | ||||||||
| LCL080-2 | 0.00 | • | 1,783.12 | 1,783.12 | 14 | 2,378.72 | 8 | • | • | ||||||||||||||||
| LCL081-1 | 0.00 | • | 0.06 | 0.06 | 6 | 0.09 | 11 | 0.69 | 10 | 0.07 | 6 | 0.07 | 6 | 1.22 | 9 | 0.11 | 11 | 0.16 | 11 | 0.32 | 11 | • | • | • | • |
| LCL082-1 | 0.00 | • | 0.06 | 0.06 | 6 | 0.11 | 11 | 1.01 | 10 | 0.07 | 6 | 0.07 | 6 | 0.87 | 9 | 0.15 | 11 | 0.26 | 11 | 0.39 | 11 | • | • | • | • |
| LCL083-1 | 0.00 | 11.31 | 434.33 | 11 | 11.31 | 9 | 23.11 | 9 | 872.26 | 16 | 1,948.48 | 13 | |||||||||||||
| LCL083-2 | 0.00 | • | 5.87 | 5.87 | 8 | 28.11 | 13 | 24.38 | 10 | 15.59 | 8 | 27.04 | 8 | 1,630.79 | 11 | 74.39 | 13 | 201.13 | 13 | 109.57 | 12 | • | • | ||
| LCL084-2 | 0.00 | ||||||||||||||||||||||||
| LCL084-3 | 0.00 | ||||||||||||||||||||||||
| LCL085-1 | 0.00 | ||||||||||||||||||||||||
| LCL086-1 | 0.00 | • | 23.66 | 90.86 | 10 | 269.90 | 10 | 23.66 | 9 | 932.09 | 11 | 1,861.04 | 13 | • | |||||||||||
| LCL087-1 | 0.00 | • | 0.54 | 0.54 | 8 | 12.79 | 14 | 3.83 | 10 | 1.03 | 8 | 1.86 | 8 | 0.85 | 9 | 20.77 | 14 | 9.88 | 13 | 0.27 | 10 | • | • | ||
| LCL088-1 | 0.00 | • | 1,125.88 | 1,125.88 | 10 | • | • | ||||||||||||||||||
| LCL089-1 | 0.00 | 92.67 | 350.35 | 10 | 1,053.52 | 10 | 92.67 | 9 | 2,129.60 | 14 | |||||||||||||||
| LCL090-1 | 0.00 | • | 1,296.65 | 1,296.65 | 12 | • | • | ||||||||||||||||||
| LCL091-1 | 0.00 | • | 80.14 | 209.65 | 11 | 80.14 | 11 | 110.04 | 10 | 255.42 | 10 | • | • | ||||||||||||
| LCL093-1 | 0.00 | ||||||||||||||||||||||||
| LCL094-1 | 0.00 | ||||||||||||||||||||||||
| LCL095-1 | 0.00 | • | • | ||||||||||||||||||||||
| LCL096-1 | 0.00 | • | 0.06 | 0.06 | 4 | 0.07 | 7 | 0.13 | 7 | 0.07 | 4 | 0.07 | 4 | 0.08 | 6 | 0.07 | 7 | 0.07 | 7 | 0.07 | 7 | • | • | • | • |
| LCL097-1 | 0.00 | • | 0.06 | 0.06 | 4 | 0.07 | 7 | 0.06 | 5 | 0.06 | 4 | 0.07 | 4 | 0.06 | 5 | 0.06 | 7 | 0.07 | 7 | 0.07 | 7 | • | • | • | • |
| LCL098-1 | 0.00 | • | 0.06 | 0.06 | 4 | 0.06 | 7 | 0.06 | 5 | 0.06 | 4 | 0.07 | 4 | 0.06 | 5 | 0.06 | 7 | 0.06 | 7 | 0.06 | 7 | • | • | • | • |
| LCL100-1 | 0.00 | ||||||||||||||||||||||||
| LCL101-1 | 0.00 | • | 0.09 | 0.09 | 7 | 0.33 | 11 | 76.91 | 10 | 0.10 | 6 | 0.13 | 6 | 48.08 | 9 | 0.32 | 10 | 4.25 | 11 | 0.73 | 10 | • | • | ||
| LCL102-1 | 0.00 | • | 0.53 | 0.53 | 7 | 1.74 | 11 | 2,172.96 | 11 | 1.82 | 7 | 3.43 | 7 | 3.40 | 11 | 7.56 | 11 | 6.85 | 11 | • | • | • | • | ||
| LCL103-1 | 0.00 | • | 378.30 | 1,212.63 | 10 | 1,256.28 | 15 | 378.30 | 9 | 624.23 | 9 | • | |||||||||||||
| LCL104-1 | 0.00 | • | 0.07 | 0.07 | 6 | 0.35 | 11 | 146.60 | 10 | 0.09 | 6 | 0.11 | 6 | 221.66 | 10 | 1.35 | 11 | 3.67 | 11 | 1.13 | 10 | • | • | • | |
| LCL106-1 | 0.00 | • | 0.06 | 0.06 | 4 | 0.06 | 7 | 0.07 | 7 | 0.06 | 4 | 0.07 | 4 | 0.09 | 7 | 0.06 | 7 | 0.06 | 7 | 0.06 | 7 | • | • | • | • |
| LCL107-1 | 0.00 | • | 0.06 | 0.06 | 5 | 0.08 | 9 | 3.14 | 9 | 0.06 | 5 | 0.07 | 5 | 4.93 | 9 | 0.10 | 9 | 0.15 | 9 | 0.11 | 9 | • | • | • | |
| LCL108-1 | 0.00 | • | 0.08 | 0.08 | 7 | 0.95 | 12 | 90.79 | 11 | 0.13 | 7 | 0.18 | 7 | 1,583.89 | 11 | 1.65 | 12 | 3.38 | 12 | 5.97 | 12 | • | • | • | |
| LCL110-1 | 0.00 | • | 0.49 | 0.77 | 7 | 0.49 | 11 | 101.69 | 10 | 2.55 | 7 | 4.59 | 7 | 254.13 | 10 | 1.14 | 11 | 3.02 | 11 | 4.52 | 11 | • | • | ||
| LCL111-1 | 0.00 | • | 0.06 | 0.06 | 5 | 0.07 | 8 | 0.27 | 8 | 0.07 | 5 | 0.08 | 5 | 0.12 | 7 | 0.07 | 8 | 0.08 | 8 | 0.08 | 8 | • | • | • | • |
| LCL112-1 | 0.00 | • | 7.18 | 7.18 | 8 | 13.88 | 13 | 43.25 | 8 | 81.17 | 8 | 42.55 | 13 | 135.44 | 13 | 359.76 | 13 | • | • | ||||||
| LCL113-1 | 0.00 | • | • | ||||||||||||||||||||||
| LCL114-1 | 0.00 | ||||||||||||||||||||||||
| LCL115-1 | 0.00 | • | • | ||||||||||||||||||||||
| LCL116-1 | 0.00 | ||||||||||||||||||||||||
| LCL117-1 | 0.00 | • | 0.06 | 0.06 | 3 | 0.06 | 5 | 0.06 | 5 | 0.06 | 3 | 0.06 | 3 | 0.06 | 5 | 0.06 | 5 | 0.06 | 5 | 0.06 | 5 | • | • | • | • |
| LCL118-1 | 0.00 | • | 0.06 | 0.06 | 7 | 0.13 | 11 | 8.63 | 10 | 0.09 | 7 | 0.13 | 7 | 6.57 | 9 | 0.36 | 11 | 1.03 | 11 | 0.21 | 10 | • | • | • | • |
| LCL120-1 | 0.00 | • | 0.06 | 0.06 | 6 | 0.07 | 9 | 0.79 | 9 | 0.07 | 6 | 0.07 | 6 | 5.34 | 9 | 0.07 | 9 | 0.08 | 9 | 0.08 | 9 | • | • | • | • |
| LCL121-1 | 0.00 | 1,562.34 | 1,562.34 | 12 | |||||||||||||||||||||
| LCL122-1 | 0.00 | ||||||||||||||||||||||||
| LCL123-1 | 0.00 | • | 0.86 | 0.86 | 10 | 2.31 | 16 | 35.21 | 10 | 123.50 | 10 | 4.22 | 16 | 74.99 | 16 | • | • | ||||||||
| LCL126-1 | 0.00 | • | 0.06 | 0.06 | 4 | 0.06 | 7 | 0.07 | 7 | 0.06 | 4 | 0.06 | 4 | 0.09 | 7 | 0.06 | 7 | 0.07 | 7 | 0.06 | 7 | • | • | • | • |
| LCL127-1 | 0.00 | ||||||||||||||||||||||||
| LCL128-1 | 0.00 | • | • | ||||||||||||||||||||||
| LCL129-1 | 0.00 | 51.19 | 525.16 | 11 | 313.79 | 16 | 51.19 | 9 | 99.81 | 9 | 899.46 | 16 | 1,834.37 | 15 | |||||||||||
| LCL130-1 | 0.00 | • | 0.06 | 0.06 | 5 | 0.06 | 8 | 0.23 | 8 | 0.06 | 5 | 0.07 | 5 | 1.27 | 8 | 0.07 | 8 | 0.07 | 8 | 0.07 | 8 | • | • | • | • |
| LCL131-1 | 0.00 | • | 182.28 | 182.28 | 11 | 1,296.87 | 16 | 901.96 | 10 | 1,797.01 | 10 | • | |||||||||||||
| LCL166-1 | 0.00 | ||||||||||||||||||||||||
| LCL169-1 | 0.00 | • | 0.06 | 0.06 | 1 | 0.06 | 1 | 0.06 | 1 | 0.06 | 2 | 0.06 | 2 | 0.06 | 1 | 0.06 | 1 | 0.06 | 1 | 0.06 | 1 | • | • | • | • |
| LCL170-1 | 0.00 | • | 0.06 | 0.06 | 1 | 0.06 | 1 | 0.06 | 1 | 0.06 | 3 | 0.06 | 3 | 0.06 | 1 | 0.06 | 1 | 0.06 | 1 | 0.06 | 1 | • | • | • | • |
| LCL171-1 | 0.00 | • | 0.06 | 0.06 | 1 | 0.06 | 1 | 0.07 | 1 | 0.06 | 3 | 0.06 | 3 | 0.06 | 1 | 0.06 | 1 | 0.06 | 1 | 0.06 | 1 | • | • | • | • |
| LCL172-1 | 0.00 | • | 0.06 | 0.06 | 1 | 0.07 | 1 | 0.06 | 1 | 0.06 | 3 | 0.06 | 3 | 0.06 | 1 | 0.06 | 1 | 0.06 | 1 | 0.06 | 1 | • | • | • | • |
| LCL173-1 | 0.00 | • | 0.06 | 0.06 | 1 | 0.06 | 1 | 0.06 | 1 | 0.06 | 3 | 0.06 | 3 | 0.06 | 1 | 0.06 | 1 | 0.06 | 1 | 0.06 | 1 | • | • | • | • |
| LCL174-1 | 0.00 | • | 0.06 | 0.06 | 2 | 0.06 | 3 | 0.06 | 3 | 0.06 | 2 | 0.06 | 2 | 0.06 | 3 | 0.06 | 3 | 0.06 | 3 | 0.08 | 3 | • | • | • | • |
| LCL175-1 | 0.00 | • | 0.06 | 0.06 | 1 | 0.06 | 1 | 0.06 | 1 | 0.06 | 2 | 0.06 | 2 | 0.06 | 1 | 0.06 | 1 | 0.06 | 1 | 0.06 | 1 | • | • | • | • |
| LCL176-1 | 0.00 | • | 0.06 | 0.06 | 2 | 0.06 | 3 | 0.06 | 3 | 0.06 | 2 | 0.06 | 2 | 0.06 | 3 | 0.06 | 3 | 0.06 | 3 | 0.06 | 3 | • | • | • | • |
| LCL177-1 | 0.00 | • | 0.06 | 0.06 | 3 | 0.06 | 5 | 0.07 | 5 | 0.06 | 3 | 0.06 | 3 | 0.06 | 5 | 0.06 | 5 | 0.06 | 5 | 0.08 | 5 | • | • | • | • |
| LCL178-1 | 0.00 | • | 0.06 | 0.06 | 3 | 0.06 | 5 | 0.07 | 5 | 0.06 | 3 | 0.06 | 3 | 0.06 | 5 | 0.06 | 5 | 0.06 | 5 | 0.06 | 5 | • | • | • | • |
| LCL182-1 | 0.00 | • | 0.11 | 0.11 | 6 | 2.30 | 11 | 0.21 | 6 | 0.23 | 6 | 12.07 | 11 | 29.76 | 11 | 19.66 | 11 | • | • | • | • | ||||
| LCL185-1 | 0.00 | • | 0.06 | 0.06 | 2 | 0.07 | 3 | 0.06 | 3 | 0.06 | 2 | 0.06 | 2 | 0.06 | 3 | 0.06 | 3 | 0.06 | 3 | 0.06 | 3 | • | • | • | • |
| LCL186-1 | 0.00 | • | 0.06 | 0.06 | 2 | 0.06 | 3 | 0.06 | 3 | 0.06 | 2 | 0.06 | 2 | 0.06 | 3 | 0.06 | 3 | 0.07 | 3 | 0.06 | 3 | • | • | • | • |
| LCL187-1 | 0.00 | • | 0.06 | 0.06 | 3 | 0.06 | 5 | 0.07 | 5 | 0.06 | 3 | 0.06 | 3 | 0.06 | 5 | 0.06 | 5 | 0.06 | 5 | 0.06 | 5 | • | • | • | • |
| LCL188-1 | 0.00 | • | 0.06 | 0.06 | 3 | 0.06 | 5 | 0.06 | 5 | 0.06 | 3 | 0.06 | 3 | 0.06 | 5 | 0.06 | 5 | 0.06 | 5 | 0.06 | 5 | • | • | • | • |
| LCL189-1 | 0.00 | • | 0.06 | 0.06 | 3 | 0.06 | 5 | 0.07 | 5 | 0.06 | 3 | 0.06 | 3 | 0.06 | 5 | 0.10 | 5 | 0.06 | 5 | 0.06 | 5 | • | • | • | • |
| LCL190-1 | 0.00 | • | 0.06 | 0.06 | 2 | 0.06 | 3 | 0.06 | 3 | 0.06 | 2 | 0.06 | 2 | 0.06 | 3 | 0.06 | 3 | 0.06 | 3 | 0.06 | 3 | • | • | • | • |
| LCL191-1 | 0.00 | ||||||||||||||||||||||||
| LCL192-1 | 0.00 | • | 0.06 | 0.06 | 4 | 0.08 | 7 | 0.21 | 7 | 0.07 | 4 | 0.07 | 4 | 0.24 | 7 | 0.08 | 7 | 0.09 | 7 | 0.08 | 7 | • | • | • | • |
| LCL193-1 | 0.00 | • | 0.06 | 0.06 | 3 | 0.06 | 5 | 0.07 | 5 | 0.06 | 3 | 0.06 | 3 | 0.06 | 5 | 0.06 | 5 | 0.07 | 5 | 0.06 | 5 | • | • | • | • |
| LCL194-1 | 0.00 | • | 0.06 | 0.06 | 4 | 0.07 | 6 | 0.08 | 6 | 0.06 | 4 | 0.06 | 4 | 0.07 | 6 | 0.07 | 6 | 0.07 | 6 | 0.07 | 6 | • | • | • | • |
| LCL195-1 | 0.00 | • | 0.13 | 0.13 | 6 | 0.72 | 10 | 40.94 | 9 | 0.24 | 6 | 0.26 | 6 | 83.59 | 9 | 2.23 | 10 | 4.95 | 10 | 2.98 | 10 | • | • | • | • |
| LCL196-1 | 0.00 | • | 0.72 | 0.72 | 8 | 111.94 | 14 | 6.100 | 8 | 9.60 | 8 | • | • | • | • | ||||||||||
| LCL197-1 | 0.00 | • | 0.06 | 0.06 | 3 | 0.06 | 5 | 0.06 | 5 | 0.06 | 3 | 0.06 | 3 | 0.06 | 5 | 0.06 | 5 | 0.07 | 5 | 0.06 | 5 | • | • | • | • |
| LCL198-1 | 0.00 | • | 1.31 | 1.31 | 8 | 174.89 | 14 | 8.73 | 8 | 11.45 | 8 | • | • | • | • | ||||||||||
| LCL199-1 | 0.00 | • | 0.07 | 0.07 | 6 | 0.11 | 9 | 2.06 | 8 | 0.13 | 6 | 0.15 | 6 | 0.85 | 8 | 0.19 | 9 | 0.33 | 9 | 0.23 | 9 | • | • | • | • |
| LCL200-1 | 0.00 | • | 0.06 | 0.06 | 5 | 0.07 | 7 | 0.08 | 6 | 0.07 | 5 | 0.07 | 5 | 0.07 | 6 | 0.07 | 7 | 0.07 | 7 | 0.07 | 7 | • | • | • | • |
| LCL201-1 | 0.00 | • | 0.09 | 0.09 | 6 | 0.15 | 9 | 2.71 | 8 | 0.18 | 6 | 0.20 | 6 | 1.19 | 8 | 0.27 | 9 | 0.50 | 9 | 0.33 | 9 | • | • | • | • |
| LCL202-1 | 0.00 | • | 0.14 | 0.14 | 7 | 0.39 | 10 | 12.60 | 9 | 1.08 | 7 | 1.42 | 7 | 2.24 | 8 | 1.28 | 10 | 2.87 | 10 | 1.80 | 10 | • | • | • | • |
| LCL203-1 | 0.00 | • | 0.09 | 0.09 | 6 | 0.15 | 9 | 2.74 | 8 | 0.18 | 6 | 0.20 | 6 | 1.19 | 8 | 0.28 | 9 | 0.51 | 9 | 0.34 | 9 | • | • | • | • |
| LCL204-1 | 0.00 | • | 0.09 | 0.09 | 6 | 0.15 | 9 | 2.72 | 8 | 0.18 | 6 | 0.20 | 6 | 1.19 | 8 | 0.28 | 9 | 0.50 | 9 | 0.33 | 9 | • | • | • | • |
| LCL205-1 | 0.00 | • | 0.18 | 0.18 | 7 | 0.45 | 10 | 14.64 | 9 | 1.22 | 7 | 1.61 | 7 | 2.48 | 8 | 1.50 | 10 | 3.32 | 10 | 2.12 | 10 | • | • | • | • |
| LCL206-1 | 0.00 | • | 0.09 | 0.09 | 6 | 0.17 | 9 | 2.74 | 8 | 0.18 | 6 | 0.20 | 6 | 1.21 | 8 | 0.28 | 9 | 0.51 | 9 | 0.34 | 9 | • | • | • | • |
| LCL207-1 | 0.00 | • | 0.06 | 0.06 | 5 | 0.07 | 7 | 0.09 | 6 | 0.07 | 5 | 0.08 | 5 | 0.07 | 6 | 0.07 | 7 | 0.08 | 7 | 0.07 | 7 | • | • | • | • |
| LCL208-1 | 0.00 | • | 0.44 | 0.44 | 7 | 15.01 | 12 | 2.35 | 7 | 3.02 | 7 | 130.41 | 12 | 312.64 | 12 | 241.37 | 12 | • | • | • | • | ||||
| LCL211-1 | 0.00 | • | 0.07 | 0.07 | 5 | 0.21 | 9 | 15.39 | 9 | 0.08 | 5 | 0.09 | 5 | 25.04 | 9 | 0.40 | 9 | 0.69 | 9 | 0.46 | 9 | • | • | • | • |
| LCL212-1 | 0.00 | • | 0.12 | 0.12 | 6 | 0.71 | 10 | 42.10 | 9 | 0.24 | 6 | 0.26 | 6 | 86.72 | 9 | 2.23 | 10 | 4.77 | 10 | 2.98 | 10 | • | • | • | • |
| LCL213-1 | 0.00 | • | 0.08 | 0.08 | 5 | 0.33 | 9 | 28.87 | 9 | 0.10 | 5 | 0.10 | 5 | 40.99 | 9 | 0.65 | 9 | 1.21 | 9 | 0.77 | 9 | • | • | • | • |
| LCL215-1 | 0.00 | • | 0.12 | 0.12 | 6 | 0.68 | 10 | 39.13 | 9 | 0.22 | 6 | 0.25 | 6 | 81.90 | 9 | 2.11 | 10 | 4.49 | 10 | 2.78 | 10 | • | • | • | • |
| LCL216-1 | 0.00 | • | 0.07 | 0.07 | 5 | 0.19 | 9 | 13.100 | 9 | 0.08 | 5 | 0.08 | 5 | 25.89 | 9 | 0.34 | 9 | 0.63 | 9 | 0.41 | 9 | • | • | • | • |
| LCL221-1 | 0.00 | 460.67 | 460.67 | 11 | |||||||||||||||||||||
| LCL223-1 | 0.00 | ||||||||||||||||||||||||
| LCL224-1 | 0.00 | • | 1,029.69 | 1,029.69 | 11 | • | |||||||||||||||||||
| LCL225-1 | 0.00 | • | 1,831.53 | 1,831.53 | 11 | • | |||||||||||||||||||
| LCL226-1 | 0.00 | • | 0.06 | 0.06 | 2 | 0.06 | 3 | 0.06 | 3 | 0.06 | 2 | 0.06 | 2 | 0.06 | 3 | 0.06 | 3 | 0.07 | 3 | 0.06 | 3 | • | • | • | • |
| LCL234-1 | 0.00 | • | 2.29 | 2.29 | 9 | 432.31 | 15 | 80.42 | 9 | 119.67 | 9 | • | • | • | |||||||||||
| LCL236-1 | 0.00 | • | 0.06 | 0.06 | 3 | 0.06 | 5 | 0.06 | 5 | 0.06 | 3 | 0.06 | 3 | 0.06 | 5 | 0.06 | 5 | 0.07 | 5 | 0.07 | 5 | • | • | • | • |
| LCL237-1 | 0.00 | • | 12.95 | 12.95 | 10 | 1,237.06 | 10 | 1,973.33 | 10 | • | • | • | |||||||||||||
| LCL238-1 | 0.00 | • | 0.06 | 0.06 | 5 | 0.08 | 8 | 0.21 | 7 | 0.07 | 5 | 0.07 | 5 | 0.26 | 7 | 0.10 | 8 | 0.11 | 8 | 0.10 | 8 | • | • | • | • |
| LCL250-1 | 0.00 | • | 16.22 | 16.22 | 9 | 2,227.39 | 15 | 415.11 | 9 | 620.56 | 9 | • | • | • | |||||||||||
| LCL256-1 | 0.00 | ||||||||||||||||||||||||
| LCL257-1 | 0.00 | • | 0.07 | 0.07 | 7 | 0.08 | 11 | 0.93 | 10 | 0.10 | 7 | 0.10 | 6 | 156.38 | 11 | 0.09 | 11 | 0.13 | 11 | 0.35 | 11 | • | • | • | |
| LCL355-1 | 0.00 | • | 0.06 | 0.06 | 1 | 0.06 | 2 | 0.06 | 2 | 0.06 | 1 | 0.06 | 1 | 0.06 | 2 | 0.06 | 2 | 0.06 | 2 | 0.06 | 2 | • | • | • | • |
| LCL356-1 | 0.00 | • | 0.06 | 0.06 | 2 | 0.06 | 4 | 0.06 | 4 | 0.06 | 2 | 0.06 | 2 | 0.06 | 4 | 0.06 | 4 | 0.06 | 4 | 0.06 | 4 | • | • | • | • |
| LCL357-1 | 0.00 | • | 0.06 | 0.06 | 2 | 0.06 | 4 | 0.06 | 4 | 0.06 | 2 | 0.06 | 2 | 0.06 | 4 | 0.06 | 4 | 0.06 | 4 | 0.06 | 4 | • | • | • | • |
| LCL358-1 | 0.00 | • | 0.06 | 0.06 | 4 | 0.06 | 6 | 0.06 | 6 | 0.06 | 4 | 0.06 | 4 | 0.06 | 6 | 0.06 | 6 | 0.06 | 6 | 0.06 | 6 | • | • | • | • |
| LCL360-1 | 0.00 | • | 0.06 | 0.06 | 1 | 0.06 | 2 | 0.06 | 2 | 0.06 | 1 | 0.06 | 1 | 0.06 | 2 | 0.06 | 2 | 0.06 | 2 | 0.06 | 2 | • | • | • | • |
| LCL361-1 | 0.00 | • | 0.06 | 0.06 | 4 | 0.06 | 7 | 0.08 | 7 | 0.06 | 4 | 0.06 | 4 | 0.06 | 6 | 0.06 | 7 | 0.06 | 7 | 0.06 | 6 | • | • | • | • |
| LCL362-1 | 0.00 | • | 0.06 | 0.06 | 4 | 0.06 | 7 | 0.08 | 7 | 0.06 | 4 | 0.06 | 4 | 0.09 | 7 | 0.06 | 7 | 0.06 | 7 | 0.07 | 7 | • | • | • | • |
| LCL363-1 | 0.00 | • | 0.09 | 0.09 | 6 | 0.16 | 10 | 36.27 | 10 | 0.12 | 6 | 0.14 | 6 | 23.90 | 9 | 0.28 | 10 | 0.56 | 10 | 0.48 | 10 | • | • | • | • |
| LCL364-1 | 0.00 | • | 41.59 | 41.59 | 9 | 468.12 | 15 | 72.15 | 8 | 109.12 | 8 | • | |||||||||||||
| LCL366-1 | 0.00 | • | 1,764.51 | 1,764.51 | 9 | • | |||||||||||||||||||
| LCL367-1 | 0.00 | ||||||||||||||||||||||||
| LCL370-1 | 0.00 | ||||||||||||||||||||||||
| LCL371-1 | 0.00 | ||||||||||||||||||||||||
| LCL373-1 | 0.00 | ||||||||||||||||||||||||
| LCL378-1 | 0.00 | 742.26 | 742.26 | 15 | 1,806.64 | 9 | |||||||||||||||||||
| LCL380-1 | 0.00 | ||||||||||||||||||||||||
| LCL381-1 | 0.00 | ||||||||||||||||||||||||
| LCL382-1 | 0.00 | ||||||||||||||||||||||||
| LCL384-1 | 0.00 | • | • | ||||||||||||||||||||||
| LCL385-1 | 0.00 | ||||||||||||||||||||||||
| LCL386-1 | 0.00 | ||||||||||||||||||||||||
| LCL387-1 | 0.00 | ||||||||||||||||||||||||
| LCL390-1 | 0.00 | ||||||||||||||||||||||||
| LCL391-1 | 0.00 | ||||||||||||||||||||||||
| LCL396-1 | 0.00 | ||||||||||||||||||||||||
| LCL397-1 | 0.00 | • | 0.31 | 0.31 | 7 | 0.50 | 11 | 755.61 | 11 | 0.87 | 7 | 1.43 | 7 | 509.36 | 10 | 1.39 | 11 | 3.52 | 11 | 3.12 | 11 | • | • | • | |
| LCL398-1 | 0.00 | • | 0.06 | 0.06 | 3 | 0.06 | 6 | 0.06 | 6 | 0.06 | 3 | 0.06 | 3 | 0.06 | 6 | 0.06 | 6 | 0.06 | 6 | 0.06 | 6 | • | • | • | • |
| LCL399-1 | 0.00 | • | 2,004.41 | 2,004.41 | 9 | • | |||||||||||||||||||
| LCL400-1 | 0.00 | ||||||||||||||||||||||||
| LCL401-1 | 0.00 | ||||||||||||||||||||||||
| LCL402-1 | 0.00 | ||||||||||||||||||||||||
| LCL403-1 | 0.00 | ||||||||||||||||||||||||
| LCL404-1 | 0.00 | ||||||||||||||||||||||||
| LCL405-1 | 0.00 | ||||||||||||||||||||||||
| LCL414-1 | 0.00 | • | 0.06 | 0.06 | 2 | 0.06 | 3 | 0.07 | 4 | 0.06 | 2 | 0.06 | 2 | 0.06 | 3 | 0.06 | 4 | 0.06 | 4 | 0.06 | 4 | • | • | • | • |
| LCL416-1 | 0.00 | • | 97.92 | 97.92 | 10 | 1,031.91 | 16 | 437.69 | 10 | 1,148.61 | 10 | • | • | ||||||||||||
| LCL429-2 | 0.00 | • | 0.06 | 0.06 | 4 | 0.06 | 8 | 0.07 | 8 | 0.06 | 4 | 0.07 | 4 | 0.10 | 8 | 0.06 | 8 | 0.07 | 8 | 0.07 | 8 | • | • | • | • |
| LCL430-2 | 0.00 | • | 0.06 | 0.06 | 4 | 0.06 | 8 | 0.07 | 8 | 0.06 | 4 | 0.06 | 4 | 0.10 | 8 | 0.06 | 8 | 0.07 | 8 | 0.07 | 8 | • | • | • | • |
| LCL432-2 | 0.00 | • | 0.06 | 0.06 | 1 | 0.06 | 1 | 0.06 | 1 | 0.06 | 1 | 0.06 | 1 | 0.06 | 1 | 0.06 | 1 | • | • | • | • | ||||
| LCL433-2 | 0.00 | • | 0.06 | 0.06 | 5 | 0.06 | 6 | 0.06 | 6 | 0.07 | 5 | 0.07 | 5 | 0.06 | 6 | 0.06 | 6 | 0.06 | 6 | 0.06 | 6 | • | • | • | • |
| LCL435-2 | 0.00 | • | 0.06 | 0.06 | 1 | 0.06 | 1 | 0.06 | 1 | 0.06 | 1 | 0.06 | 1 | 0.06 | 1 | 0.06 | 1 | • | • | • | • | ||||
| LCL436-2 | 0.00 | • | 0.06 | 0.06 | 1 | 0.06 | 1 | 0.06 | 1 | 0.06 | 1 | 0.06 | 1 | 0.06 | 1 | 0.06 | 1 | • | • | • | • | ||||
| LCL437-2 | 0.00 | • | 0.05 | 0.05 | 1 | 0.06 | 1 | 0.06 | 1 | 0.06 | 1 | 0.06 | 1 | 0.06 | 1 | 0.06 | 1 | • | • | • | • | ||||
| LCL438-2 | 0.00 | • | 0.06 | 0.06 | 2 | 0.06 | 4 | 0.06 | 4 | 0.06 | 2 | 0.06 | 2 | 0.06 | 4 | 0.06 | 4 | 0.06 | 4 | 0.06 | 4 | • | • | • | • |
| LCL439-2 | 0.00 | • | 0.06 | 0.06 | 4 | 0.06 | 5 | 0.06 | 5 | 0.06 | 5 | 0.06 | 5 | 0.06 | 5 | 0.06 | 5 | • | • | • | • | ||||
| LCL440-2 | 0.00 | • | 0.06 | 0.06 | 0 | 0.06 | 0 | 0.06 | 0 | 0.06 | 0 | 0.06 | 0 | 0.06 | 0 | 0.06 | 0 | 0.06 | 0 | 0.06 | 0 | • | • | • | • |
| LCL441-2 | 0.00 | • | 0.05 | 0.05 | 2 | 0.06 | 3 | 0.06 | 3 | 0.06 | 3 | 0.06 | 3 | 0.06 | 3 | 0.06 | 3 | 0.06 | 3 | 0.06 | 3 | • | • | • | • |
| LCL443-2 | 0.00 | • | 0.06 | 0.06 | 6 | 0.08 | 8 | 0.25 | 8 | 113.22 | 9 | 182.34 | 9 | 1.51 | 8 | 0.07 | 8 | 0.07 | 8 | 0.07 | 8 | • | • | • | • |
| LCL445-2 | 0.00 | • | 0.06 | 0.06 | 4 | 0.06 | 6 | 0.06 | 5 | 0.06 | 3 | 0.06 | 3 | 0.06 | 5 | 0.06 | 6 | 0.06 | 6 | 0.06 | 6 | • | • | • | • |
| LCL446-2 | 0.00 | • | 0.06 | 0.06 | 2 | 0.06 | 3 | 0.06 | 4 | 0.06 | 2 | 0.07 | 2 | 0.06 | 3 | 0.06 | 4 | 0.06 | 4 | 0.06 | 4 | • | • | • | • |
| LCL447-2 | 0.00 | • | 0.06 | 0.06 | 1 | 0.06 | 2 | 0.06 | 2 | 0.06 | 1 | 0.06 | 1 | 0.06 | 2 | 0.06 | 2 | 0.06 | 2 | 0.06 | 2 | • | • | • | • |
| MGT001-1 | 0.00 | • | 0.08 | 0.08 | 10 | 16.73 | 43 | • | • | • | • | ||||||||||||||
| MGT003-1 | 0.00 | • | 0.07 | 0.07 | 6 | 7.31 | 19 | 3.27 | 19 | • | • | • | • | ||||||||||||
| MGT006-1 | 0.00 | • | 0.06 | 0.06 | 6 | 0.16 | 28 | • | • | • | • | ||||||||||||||
| MGT008-1 | 0.00 | • | 0.06 | 0.06 | 4 | 0.10 | 20 | 0.98 | 20 | • | • | • | • | ||||||||||||
| MGT009-1 | 0.00 | • | 0.06 | 0.06 | 4 | 0.09 | 20 | 1.03 | 20 | • | • | • | • | ||||||||||||
| MGT010-1 | 0.00 | • | 0.06 | 0.06 | 6 | 0.79 | 33 | • | • | • | • | ||||||||||||||
| MGT015-1 | 0.00 | • | 0.06 | 0.06 | 4 | 0.10 | 23 | 15.48 | 23 | • | • | • | • | ||||||||||||
| MGT032-2 | 0.00 | • | 0.06 | 0.06 | 6 | 0.06 | 13 | 41.75 | 13 | 0.07 | 13 | 0.34 | 13 | 114.17 | 13 | • | • | • | • | ||||||
| MGT036-3 | 0.00 | • | 0.06 | 0.06 | 3 | 0.06 | 9 | 0.12 | 9 | 0.06 | 9 | 0.06 | 9 | 0.06 | 9 | • | • | • | • | ||||||
| MSC005-1 | 0.00 | • | 0.06 | 0.06 | 4 | 0.06 | 8 | 0.06 | 8 | 0.06 | 4 | 0.06 | 4 | 0.09 | 8 | 0.06 | 8 | 0.07 | 8 | 0.07 | 8 | • | • | • | • |
| NUM001-1 | 0.00 | • | 0.06 | 0.06 | 3 | 0.07 | 5 | 0.07 | 5 | 0.07 | 3 | 0.06 | 3 | 0.06 | 5 | 0.06 | 5 | 0.06 | 5 | 0.06 | 5 | • | • | • | • |
| NUM002-1 | 0.00 | • | 0.06 | 0.06 | 3 | 0.08 | 6 | 0.08 | 6 | 0.07 | 3 | 0.07 | 3 | 0.15 | 6 | 0.07 | 6 | 0.07 | 6 | 0.07 | 6 | • | • | • | • |
| NUM003-1 | 0.00 | • | 0.06 | 0.06 | 3 | 0.07 | 6 | 0.07 | 6 | 0.06 | 3 | 0.06 | 3 | 0.13 | 6 | 0.06 | 6 | 0.07 | 6 | 0.07 | 6 | • | • | • | • |
| NUM004-1 | 0.00 | • | 0.06 | 0.06 | 3 | 0.07 | 6 | 0.08 | 6 | 0.07 | 3 | 0.07 | 3 | 0.13 | 6 | 0.07 | 6 | 0.07 | 6 | 0.07 | 6 | • | • | • | • |
| NUM019-1 | 0.00 | • | 0.06 | 0.06 | 2 | 0.06 | 3 | 0.06 | 3 | 0.06 | 3 | 0.06 | 3 | 0.06 | 3 | 0.06 | 3 | • | • | • | • | ||||
| NUM020-1 | 0.00 | • | 0.06 | 0.06 | 3 | 0.06 | 4 | 0.06 | 4 | 0.06 | 4 | 0.06 | 4 | 0.06 | 4 | 0.06 | 4 | • | • | • | • | ||||
| NUM023-1 | 0.00 | • | 0.06 | 0.06 | 2 | 0.07 | 2 | 0.06 | 2 | 0.06 | 2 | 0.06 | 2 | 0.06 | 2 | 0.06 | 2 | • | • | • | • | ||||
| NUM024-1 | 0.00 | • | 0.10 | 0.10 | 5 | 0.22 | 7 | 9.18 | 7 | 12.92 | 6 | 14.18 | 6 | 14.56 | 7 | 0.29 | 7 | 0.38 | 7 | 0.32 | 7 | • | • | • | • |
| NUM025-1 | 0.00 | • | 0.06 | 0.06 | 2 | 0.06 | 3 | 0.06 | 3 | 0.06 | 3 | 0.06 | 3 | 0.07 | 3 | 0.06 | 3 | • | • | • | • | ||||
| NUM283-1.005 | 0.00 | • | 26.39 | 26.39 | 39 | 170.03 | 48 | • | • | • | |||||||||||||||
| PLA001-1 | 0.00 | • | 0.07 | 0.07 | 6 | 0.36 | 11 | 0.08 | 6 | 0.13 | 6 | 3.91 | 11 | 19.17 | 11 | 20.46 | 11 | • | • | • | • | ||||
| PLA003-1 | 0.00 | • | 0.06 | 0.06 | 6 | 0.06 | 6 | 0.14 | 6 | 0.14 | 6 | 0.06 | 6 | 0.07 | 6 | 0.06 | 6 | • | • | • | • | ||||
| PLA006-1 | 0.00 | • | 0.06 | 0.06 | 2 | 0.06 | 5 | 0.07 | 5 | 0.06 | 5 | 0.07 | 5 | 0.06 | 5 | • | • | • | • | ||||||
| PLA007-1 | 0.00 | • | 0.25 | 0.25 | 10 | 8.67 | 22 | • | • | • | |||||||||||||||
| PLA016-1 | 0.00 | • | 0.11 | 0.11 | 9 | 2.36 | 21 | • | • | • | |||||||||||||||
| PLA017-1 | 0.00 | • | 0.06 | 0.06 | 4 | 0.07 | 8 | 9.95 | 8 | 0.09 | 8 | 0.09 | 8 | 0.10 | 8 | • | • | • | • | ||||||
| PLA019-1 | 0.00 | • | 0.08 | 0.08 | 8 | 0.89 | 19 | • | • | • | |||||||||||||||
| PLA020-1 | 0.00 | • | 0.06 | 0.06 | 1 | 0.06 | 3 | 0.06 | 3 | 0.06 | 3 | 0.06 | 3 | 0.07 | 3 | • | • | • | • | ||||||
| PLA022-1 | 0.00 | • | 0.08 | 0.08 | 7 | 0.50 | 13 | 4.75 | 13 | 30.10 | 13 | 231.35 | 13 | • | • | • | • | ||||||||
| PLA022-2 | 0.00 | • | 0.06 | 0.06 | 7 | 0.08 | 13 | 1.59 | 13 | 10.18 | 13 | 223.06 | 13 | • | • | • | • | ||||||||
| PUZ008-1 | 0.00 | • | 0.06 | 0.06 | 1 | 0.06 | 1 | 0.06 | 1 | 0.06 | 1 | 0.06 | 1 | 0.06 | 1 | 0.07 | 1 | • | • | • | • | ||||
| PUZ008-3 | 0.00 | • | 437.13 | 437.13 | 40 | • | • | • | • | ||||||||||||||||
| PUZ038-1 | 0.00 | • | 0.06 | 0.06 | 1 | 0.07 | 1 | 0.07 | 1 | 0.06 | 1 | 0.07 | 1 | 0.07 | 1 | 0.07 | 1 | • | • | • | • | ||||
| PUZ039-1 | 0.00 | ||||||||||||||||||||||||
| PUZ040-1 | 0.00 | ||||||||||||||||||||||||
| PUZ042-1 | 0.00 | ||||||||||||||||||||||||
| PUZ047-1 | 0.00 | • | 0.06 | 0.06 | 7 | 0.08 | 7 | 0.11 | 7 | 0.10 | 7 | 0.06 | 7 | 0.06 | 7 | 0.07 | 7 | • | • | • | • | ||||
| RNG001-2 | 0.00 | • | 2.23 | 2.23 | 4 | 83.45 | 13 | 223.78 | 13 | 320.06 | 13 | 501.06 | 13 | • | |||||||||||
| RNG001-3 | 0.00 | • | 0.06 | 0.06 | 4 | 0.63 | 14 | 570.19 | 14 | 0.74 | 14 | 2.85 | 14 | • | • | • | • | ||||||||
| RNG001-5 | 0.00 | • | 1.99 | 1.99 | 4 | 381.95 | 11 | 26.32 | 11 | 36.55 | 11 | 35.25 | 11 | • | • | • | |||||||||
| RNG005-2 | 0.00 | • | 0.06 | 0.06 | 1 | 0.06 | 4 | 0.08 | 4 | 0.07 | 4 | 0.06 | 4 | 0.06 | 4 | • | • | • | • | ||||||
| RNG006-2 | 0.00 | • | 0.07 | 0.07 | 2 | 0.07 | 5 | 0.07 | 5 | 0.08 | 5 | 0.07 | 5 | 0.07 | 5 | • | • | • | • | ||||||
| RNG037-2 | 0.00 | • | 0.06 | 0.06 | 2 | 0.07 | 5 | 0.06 | 5 | 0.07 | 5 | 0.06 | 5 | 0.06 | 5 | • | • | • | • | ||||||
| RNG038-2 | 0.00 | • | 0.06 | 0.12 | 4 | 0.06 | 6 | 0.07 | 6 | 0.06 | 6 | 0.07 | 6 | 0.06 | 6 | 0.06 | 6 | • | • | • | • | ||||
| RNG039-2 | 0.00 | • | 37.09 | 37.09 | 3 | 454.69 | 9 | 1,044.19 | 6 | 1,092.28 | 6 | 327.97 | 9 | 365.31 | 9 | 345.15 | 9 | • | • | • | |||||
| SET818-2 | 0.00 | • | 0.06 | 0.06 | 0 | 0.06 | 0 | 0.06 | 0 | 0.06 | 0 | 0.06 | 0 | 0.05 | 0 | 0.06 | 0 | 0.06 | 0 | 0.06 | 0 | • | • | • | • |
| SET819-2 | 0.00 | • | 0.06 | 0.06 | 0 | 0.06 | 0 | 0.06 | 0 | 0.06 | 0 | 0.06 | 0 | 0.06 | 0 | 0.06 | 0 | 0.06 | 0 | 0.06 | 0 | • | • | • | • |
| SET824-2 | 0.00 | • | 0.06 | 0.06 | 1 | 0.06 | 2 | 0.06 | 2 | 0.06 | 1 | 0.06 | 1 | 0.06 | 2 | 0.06 | 2 | 0.06 | 2 | 0.06 | 2 | • | • | • | • |
| SET826-2 | 0.00 | • | 0.06 | 0.06 | 1 | 0.06 | 2 | 0.06 | 2 | 0.06 | 1 | 0.06 | 1 | 0.06 | 2 | 0.06 | 2 | 0.06 | 2 | 0.06 | 2 | • | • | • | • |
| SET827-2 | 0.00 | • | 0.06 | 0.06 | 1 | 0.06 | 2 | 0.06 | 2 | 0.06 | 1 | 0.06 | 1 | 0.06 | 2 | 0.06 | 2 | 0.06 | 2 | 0.06 | 2 | • | • | • | • |
| SET828-2 | 0.00 | • | 0.06 | 0.06 | 1 | 0.07 | 2 | 0.06 | 2 | 0.06 | 1 | 0.06 | 1 | 0.06 | 2 | 0.06 | 2 | 0.06 | 2 | 0.06 | 2 | • | • | • | • |
| SET829-2 | 0.00 | • | 0.06 | 0.06 | 1 | 0.06 | 2 | 0.06 | 2 | 0.06 | 1 | 0.06 | 1 | 0.06 | 2 | 0.06 | 2 | 0.06 | 2 | 0.06 | 2 | • | • | • | • |
| SET832-2 | 0.00 | • | 0.06 | 0.06 | 1 | 0.06 | 2 | 0.06 | 2 | 0.06 | 1 | 0.06 | 1 | 0.06 | 2 | 0.06 | 2 | 0.06 | 2 | 0.06 | 2 | • | • | • | • |
| SET833-2 | 0.00 | • | 0.06 | 0.06 | 1 | 0.06 | 2 | 0.06 | 2 | 0.06 | 1 | 0.06 | 1 | 0.06 | 2 | 0.06 | 2 | 0.06 | 2 | 0.06 | 2 | • | • | • | • |
| SET835-2 | 0.00 | • | 0.06 | 0.06 | 1 | 0.06 | 2 | 0.06 | 2 | 0.06 | 1 | 0.06 | 1 | 0.06 | 2 | 0.06 | 2 | 0.06 | 2 | 0.06 | 2 | • | • | • | • |
| SET836-2 | 0.00 | • | 0.06 | 0.06 | 1 | 0.06 | 2 | 0.06 | 2 | 0.06 | 1 | 0.06 | 1 | 0.06 | 2 | 0.06 | 2 | 0.06 | 2 | 0.07 | 2 | • | • | • | • |
| SET846-2 | 0.00 | • | 0.06 | 0.06 | 3 | 0.06 | 3 | 0.06 | 3 | 0.06 | 3 | 0.06 | 3 | 0.06 | 3 | 0.06 | 3 | • | • | • | • | ||||
| SET850-2 | 0.00 | • | 0.06 | 0.06 | 1 | 0.08 | 2 | 0.06 | 2 | 0.06 | 1 | 0.06 | 1 | 0.06 | 2 | 0.06 | 2 | 0.06 | 2 | 0.06 | 2 | • | • | • | • |
| SET859-2 | 0.00 | • | 0.06 | 0.06 | 1 | 0.06 | 2 | 0.06 | 2 | 0.06 | 1 | 0.06 | 1 | 0.06 | 2 | 0.06 | 2 | 0.06 | 2 | 0.06 | 2 | • | • | • | • |
| SWV011-1 | 0.00 | • | 0.06 | 0.06 | 1 | 0.07 | 2 | 0.06 | 2 | 0.06 | 1 | 0.06 | 1 | 0.06 | 2 | 0.06 | 2 | 0.06 | 2 | 0.06 | 2 | • | • | • | • |
| SWV242-2 | 0.00 | • | 0.06 | 0.06 | 5 | 0.06 | 8 | 0.07 | 8 | 0.06 | 4 | 0.06 | 4 | 0.06 | 7 | 0.07 | 8 | 0.06 | 8 | 0.06 | 8 | • | • | • | • |
| SWV256-2 | 0.00 | • | 0.06 | 0.06 | 1 | 0.06 | 1 | 0.06 | 1 | 0.06 | 1 | 0.06 | 1 | 0.06 | 1 | 0.06 | 1 | • | • | • | • | ||||
| SWV257-2 | 0.00 | • | 0.06 | 0.06 | 1 | 0.06 | 1 | 0.06 | 1 | 0.06 | 1 | 0.06 | 1 | 0.06 | 1 | 0.06 | 1 | • | • | • | • | ||||
| SWV258-2 | 0.00 | • | 0.06 | 0.06 | 3 | 0.07 | 4 | 0.06 | 4 | 0.06 | 4 | 0.06 | 4 | 0.06 | 4 | 0.06 | 4 | • | • | • | • | ||||
| SWV259-2 | 0.00 | • | 0.06 | 0.06 | 3 | 0.06 | 3 | 0.06 | 3 | 0.06 | 3 | 0.06 | 3 | 0.06 | 3 | 0.06 | 3 | • | • | • | • | ||||
| SWV263-2 | 0.00 | • | 0.06 | 0.06 | 2 | 0.06 | 3 | 0.06 | 3 | 0.06 | 3 | 0.06 | 3 | 0.06 | 3 | 0.06 | 3 | • | • | • | • | ||||
| SWV264-2 | 0.00 | • | 0.06 | 0.06 | 1 | 0.06 | 1 | 0.06 | 1 | 0.06 | 1 | 0.06 | 1 | 0.06 | 1 | 0.06 | 1 | • | • | • | • | ||||
| SWV265-2 | 0.00 | • | 0.06 | 0.06 | 1 | 0.06 | 1 | 0.06 | 1 | 0.06 | 1 | 0.06 | 1 | 0.06 | 1 | 0.06 | 1 | • | • | • | • | ||||
| SWV266-2 | 0.00 | • | 0.06 | 0.06 | 1 | 0.06 | 1 | 0.06 | 1 | 0.06 | 1 | 0.06 | 1 | 0.06 | 1 | 0.06 | 1 | • | • | • | • | ||||
| SWV267-2 | 0.00 | • | 0.06 | 0.06 | 1 | 0.06 | 2 | 0.06 | 2 | 0.06 | 1 | 0.06 | 1 | 0.06 | 2 | 0.06 | 2 | 0.06 | 2 | 0.06 | 2 | • | • | • | • |
| SWV269-2 | 0.00 | • | 0.06 | 0.06 | 1 | 0.06 | 1 | 0.06 | 1 | 0.06 | 1 | 0.06 | 1 | 0.06 | 1 | 0.06 | 1 | • | • | • | • | ||||
| SWV273-2 | 0.00 | • | 0.06 | 0.06 | 3 | 0.06 | 4 | 0.07 | 4 | 0.06 | 3 | 0.06 | 3 | 0.06 | 4 | 0.06 | 4 | 0.06 | 4 | 0.06 | 4 | • | • | • | • |
| SWV277-2 | 0.00 | • | 0.06 | 0.06 | 2 | 0.07 | 3 | 0.06 | 3 | 0.06 | 2 | 0.06 | 2 | 0.06 | 3 | 0.06 | 3 | 0.06 | 3 | 0.06 | 3 | • | • | • | • |
| SWV279-2 | 0.00 | • | 0.06 | 0.06 | 7 | 0.07 | 10 | 0.11 | 9 | 2.72 | 8 | 2.96 | 8 | 1.71 | 10 | 0.07 | 9 | 0.06 | 9 | 0.06 | 9 | • | • | • | • |
| SWV280-2 | 0.00 | • | 0.06 | 0.06 | 1 | 0.06 | 2 | 0.06 | 2 | 0.06 | 1 | 0.06 | 1 | 0.06 | 2 | 0.06 | 2 | 0.06 | 2 | 0.06 | 2 | • | • | • | • |
| SWV299-2 | 0.00 | • | 0.06 | 0.06 | 12 | 0.07 | 14 | 1.93 | 11 | 0.08 | 12 | 0.20 | 12 | 4.07 | 12 | • | • | • | • | ||||||
| SWV309-2 | 0.00 | • | 0.06 | 0.06 | 1 | 0.06 | 1 | 0.06 | 1 | 0.06 | 1 | 0.06 | 1 | 0.06 | 1 | 0.06 | 1 | • | • | • | • | ||||
| SWV310-2 | 0.00 | • | 0.06 | 0.06 | 1 | 0.06 | 1 | 0.06 | 1 | 0.06 | 1 | 0.06 | 1 | 0.06 | 1 | 0.06 | 1 | • | • | • | • | ||||
| SWV312-2 | 0.00 | • | 0.06 | 0.06 | 1 | 0.06 | 1 | 0.06 | 1 | 0.07 | 1 | 0.06 | 1 | 0.06 | 1 | 0.06 | 1 | • | • | • | • | ||||
| SWV320-2 | 0.00 | • | 0.06 | 0.06 | 1 | 0.06 | 2 | 0.06 | 2 | 0.06 | 1 | 0.06 | 1 | 0.06 | 2 | 0.06 | 2 | 0.06 | 2 | 0.06 | 2 | • | • | • | • |
| SWV330-2 | 0.00 | • | 0.06 | 0.06 | 0 | 0.06 | 0 | 0.06 | 0 | 0.06 | 0 | 0.06 | 0 | 0.06 | 0 | 0.06 | 0 | 0.06 | 0 | 0.06 | 0 | • | • | • | • |
| SWV331-2 | 0.00 | • | 0.06 | 0.06 | 2 | 0.06 | 5 | 0.07 | 5 | 0.06 | 5 | 0.06 | 5 | 0.06 | 5 | • | • | • | • | ||||||
| SWV333-2 | 0.00 | • | 0.06 | 0.06 | 0 | 0.06 | 0 | 0.06 | 0 | 0.06 | 0 | 0.06 | 0 | 0.06 | 0 | 0.06 | 0 | 0.06 | 0 | 0.06 | 0 | • | • | • | • |
| SWV334-2 | 0.00 | • | 0.06 | 0.06 | 0 | 0.06 | 0 | 0.06 | 0 | 0.06 | 0 | 0.06 | 0 | 0.07 | 0 | 0.06 | 0 | 0.06 | 0 | 0.06 | 0 | • | • | • | • |
| SWV336-2 | 0.00 | • | 0.06 | 0.06 | 0 | 0.06 | 0 | 0.06 | 0 | 0.06 | 0 | 0.06 | 0 | 0.06 | 0 | 0.06 | 0 | 0.06 | 0 | 0.06 | 0 | • | • | • | • |
| SWV341-2 | 0.00 | • | 0.06 | 0.06 | 2 | 0.06 | 2 | 0.06 | 2 | 0.07 | 2 | 0.06 | 2 | 0.06 | 2 | 0.06 | 2 | • | • | • | • | ||||
| SWV349-2 | 0.00 | • | 0.05 | 0.05 | 0 | 0.06 | 0 | 0.06 | 0 | 0.06 | 0 | 0.06 | 0 | 0.05 | 0 | 0.06 | 0 | 0.06 | 0 | 0.06 | 0 | • | • | • | • |
| SWV350-2 | 0.00 | • | 0.05 | 0.05 | 0 | 0.06 | 0 | 0.06 | 0 | 0.06 | 0 | 0.06 | 0 | 0.06 | 0 | 0.06 | 0 | 0.06 | 0 | 0.06 | 0 | • | • | • | • |
| SWV351-2 | 0.00 | • | 0.06 | 0.06 | 0 | 0.07 | 0 | 0.06 | 0 | 0.06 | 0 | 0.06 | 0 | 0.05 | 0 | 0.06 | 0 | 0.06 | 0 | 0.06 | 0 | • | • | • | • |
| SWV355-2 | 0.00 | • | 0.06 | 0.06 | 7 | 0.06 | 7 | 0.15 | 7 | 0.14 | 7 | 0.07 | 7 | 0.06 | 7 | 0.06 | 7 | • | • | • | • | ||||
| SWV356-2 | 0.00 | • | 0.06 | 0.06 | 2 | 0.06 | 2 | 0.06 | 2 | 0.06 | 2 | 0.06 | 2 | 0.06 | 2 | 0.06 | 2 | • | • | • | • | ||||
| SWV357-2 | 0.00 | • | 0.06 | 0.06 | 2 | 0.06 | 3 | 0.06 | 3 | 0.06 | 3 | 0.06 | 3 | 0.06 | 3 | 0.06 | 3 | • | • | • | • | ||||
| SWV358-2 | 0.00 | • | 0.06 | 0.06 | 7 | 0.07 | 7 | 0.15 | 7 | 0.14 | 7 | 0.06 | 7 | 0.06 | 7 | 0.06 | 7 | • | • | • | • | ||||
| SWV364-2 | 0.00 | • | 0.06 | 0.06 | 2 | 0.06 | 3 | 0.06 | 3 | 0.06 | 3 | 0.06 | 3 | 0.06 | 3 | 0.06 | 3 | • | • | • | • | ||||
| SYN033-1 | 0.00 | • | 0.06 | 0.06 | 1 | 0.06 | 3 | 0.06 | 3 | 0.06 | 3 | 0.06 | 3 | 0.06 | 3 | • | • | • | • | ||||||
| SYN035-1 | 0.00 | • | 0.06 | 0.06 | 2 | 0.06 | 6 | 0.06 | 6 | 0.06 | 6 | 0.06 | 6 | 0.06 | 6 | • | • | • | • | ||||||
| SYN048-1 | 0.00 | • | 0.06 | 0.06 | 0 | 0.06 | 0 | 0.06 | 0 | 0.06 | 0 | 0.07 | 0 | 0.06 | 0 | 0.06 | 0 | 0.06 | 0 | 0.06 | 0 | • | • | • | • |
| SYN049-1 | 0.00 | • | 0.06 | 0.06 | 1 | 0.06 | 1 | 0.06 | 1 | 0.06 | 1 | 0.06 | 1 | 0.06 | 1 | 0.06 | 1 | • | • | • | • | ||||
| SYN050-1 | 0.00 | • | 0.06 | 0.06 | 1 | 0.07 | 2 | 0.06 | 2 | 0.06 | 1 | 0.06 | 1 | 0.06 | 2 | 0.06 | 2 | 0.06 | 2 | 0.06 | 2 | • | • | • | • |
| SYN064-1 | 0.00 | • | 0.06 | 0.06 | 0 | 0.06 | 0 | 0.06 | 0 | 0.06 | 0 | 0.06 | 0 | 0.06 | 0 | 0.06 | 0 | 0.06 | 0 | 0.06 | 0 | • | • | • | • |
| SYN065-1 | 0.00 | • | 0.06 | 0.06 | 1 | 0.06 | 2 | 0.06 | 2 | 0.06 | 1 | 0.06 | 1 | 0.06 | 2 | 0.06 | 2 | 0.06 | 2 | 0.06 | 2 | • | • | • | • |
| SYN068-1 | 0.00 | • | 0.06 | 0.06 | 4 | 0.06 | 5 | 0.06 | 5 | 0.06 | 5 | 0.06 | 5 | 0.06 | 5 | 0.06 | 5 | 0.06 | 5 | 0.06 | 5 | • | • | • | • |
| SYN079-1 | 0.00 | • | 0.06 | 0.06 | 1 | 0.06 | 2 | 0.06 | 2 | 0.06 | 1 | 0.06 | 1 | 0.06 | 2 | 0.06 | 2 | 0.06 | 2 | 0.06 | 2 | • | • | • | • |
| SYN310-1 | 0.00 | • | 1.67 | 9.35 | 12 | 12.18 | 12 | 1.67 | 6 | 1.63 | 6 | 4.96 | 9 | 29.34 | 9 | 5.54 | 9 | • | • | • | • | ||||
| SYN312-1 | 0.00 | • | 19.45 | 112.64 | 13 | 19.45 | 14 | 87.59 | 8 | 137.18 | 8 | 156.59 | 8 | 84.96 | 8 | 21.42 | 10 | 412.01 | 11 | 38.48 | 10 | • | • | • | • |
| SYN336-1 | 0.00 | • | 0.06 | 0.06 | 0 | 0.06 | 0 | 0.06 | 0 | 0.06 | 0 | 0.06 | 0 | 0.06 | 0 | 0.06 | 0 | 0.06 | 0 | 0.06 | 0 | • | • | • | • |
| SYN338-1 | 0.00 | • | 0.06 | 0.06 | 0 | 0.06 | 0 | 0.06 | 0 | 0.06 | 0 | 0.06 | 0 | 0.06 | 0 | 0.06 | 0 | 0.06 | 0 | 0.06 | 0 | • | • | • | • |
| SYN339-1 | 0.00 | • | 0.06 | 0.06 | 0 | 0.07 | 0 | 0.06 | 0 | 0.06 | 0 | 0.07 | 0 | 0.06 | 0 | 0.06 | 0 | 0.06 | 0 | 0.06 | 0 | • | • | • | • |
| SYN340-1 | 0.00 | • | 0.06 | 0.06 | 0 | 0.06 | 0 | 0.06 | 0 | 0.06 | 0 | 0.07 | 0 | 0.06 | 0 | 0.06 | 0 | 0.06 | 0 | 0.06 | 0 | • | • | • | • |
| SYN341-1 | 0.00 | • | 0.06 | 0.06 | 0 | 0.06 | 0 | 0.06 | 0 | 0.06 | 0 | 0.06 | 0 | 0.06 | 0 | 0.06 | 0 | 0.06 | 0 | 0.06 | 0 | • | • | • | • |
| SYN346-1 | 0.00 | • | 0.06 | 0.06 | 1 | 0.07 | 2 | 0.06 | 2 | 0.06 | 1 | 0.07 | 1 | 0.06 | 2 | 0.06 | 2 | 0.06 | 2 | 0.06 | 2 | • | • | • | • |
| SYN553-1 | 0.00 | • | 0.06 | 0.06 | 5 | 0.09 | 9 | 1.89 | 9 | 3.81 | 9 | 0.12 | 9 | 0.17 | 9 | 0.14 | 9 | • | • | • | • | ||||
| SYN555-1 | 0.00 | • | 0.06 | 0.06 | 2 | 0.06 | 4 | 0.06 | 4 | 0.06 | 2 | 0.07 | 2 | 0.06 | 4 | 0.06 | 4 | 0.06 | 4 | 0.06 | 4 | • | • | • | • |
| SYN558-1 | 0.00 | • | 0.07 | 0.07 | 5 | 26.89 | 14 | 52.29 | 14 | 138.90 | 14 | • | • | • | • | ||||||||||
| SYN559-1 | 0.00 | • | 0.06 | 0.06 | 4 | 0.07 | 10 | 0.42 | 10 | 0.07 | 10 | 0.07 | 10 | 0.09 | 10 | • | • | • | • | ||||||
| SYN561-1 | 0.00 | • | 0.06 | 0.06 | 4 | 0.07 | 10 | 0.43 | 10 | 0.06 | 10 | 0.07 | 10 | 0.09 | 10 | • | • | • | • | ||||||
| SYN562-1 | 0.00 | • | 0.06 | 0.06 | 1 | 0.06 | 3 | 0.06 | 3 | 0.06 | 3 | 0.06 | 3 | 0.06 | 3 | • | • | • | • | ||||||
| SYN564-1 | 0.00 | • | 0.09 | 0.09 | 5 | 0.12 | 9 | 5.31 | 9 | 0.14 | 9 | 0.19 | 9 | 0.19 | 9 | • | • | • | • | ||||||
| SYN565-1 | 0.00 | • | 10.27 | 20.65 | 7 | 10.27 | 12 | 1,055.12 | 11 | 16.97 | 12 | 32.83 | 12 | 75.63 | 12 | • | • | • | • | ||||||
| SYN566-1 | 0.00 | • | 0.06 | 0.06 | 5 | 0.08 | 11 | 15.74 | 11 | 0.13 | 11 | 0.19 | 11 | 0.57 | 11 | • | • | • | • | ||||||
| SYN569-1 | 0.00 | • | 20.59 | 44.08 | 8 | 20.59 | 15 | 26.09 | 15 | 68.14 | 15 | • | • | • | • | ||||||||||
| SYN570-1 | 0.00 | • | 0.06 | 0.06 | 4 | 0.06 | 8 | 0.09 | 8 | 0.07 | 8 | 0.07 | 8 | 0.07 | 8 | • | • | • | • | ||||||
| SYN572-1 | 0.00 | • | 8.18 | 8.18 | 6 | 29.78 | 12 | 39.81 | 12 | 64.64 | 12 | 56.65 | 12 | • | • | • | • | ||||||||
| SYN577-1 | 0.00 | • | 1,184.35 | 1,184.35 | 17 | 1,636.20 | 14 | • | • | • | |||||||||||||||
| SYN584-1 | 0.00 | • | 0.06 | 0.06 | 3 | 0.06 | 6 | 0.06 | 6 | 0.07 | 6 | 0.06 | 6 | 0.06 | 6 | • | • | • | • | ||||||
| SYN590-1 | 0.00 | • | 0.12 | 0.41 | 6 | 0.12 | 10 | 6.02 | 10 | 0.07 | 10 | 0.08 | 10 | 0.12 | 10 | • | • | • | • | ||||||
| SYN596-1 | 0.00 | • | 0.06 | 0.06 | 2 | 0.06 | 5 | 0.06 | 5 | 0.06 | 5 | 0.06 | 5 | 0.06 | 5 | • | • | • | • | ||||||
| SYN597-1 | 0.00 | • | 0.06 | 0.06 | 4 | 0.07 | 10 | 0.91 | 10 | 0.11 | 10 | 0.15 | 10 | 0.17 | 10 | • | • | • | • | ||||||
| SYN602-1 | 0.00 | • | 0.06 | 0.06 | 4 | 0.07 | 9 | 0.30 | 9 | 0.08 | 9 | 0.07 | 9 | 0.07 | 9 | • | • | • | • | ||||||
| SYN603-1 | 0.00 | • | 0.06 | 0.06 | 4 | 0.07 | 9 | 0.30 | 9 | 0.07 | 9 | 0.07 | 9 | 0.07 | 9 | • | • | • | • | ||||||
| SYN618-1 | 0.00 | • | 0.62 | 0.62 | 6 | 12.42 | 12 | 22.59 | 12 | 47.88 | 12 | 66.22 | 12 | • | • | • | • | ||||||||
| SYN628-1 | 0.00 | • | 0.42 | 0.42 | 6 | 0.42 | 11 | 46.58 | 11 | 0.52 | 11 | 0.81 | 11 | 1.74 | 11 | • | • | • | • | ||||||
| SYN629-1 | 0.00 | • | 0.43 | 0.50 | 6 | 0.43 | 11 | 46.98 | 11 | 0.53 | 11 | 0.83 | 11 | 1.75 | 11 | • | • | • | • | ||||||
| SYN632-1 | 0.00 | • | 0.26 | 2.29 | 8 | 0.26 | 13 | 4.21 | 13 | 16.17 | 13 | 367.77 | 13 | • | • | • | • | ||||||||
| SYN651-1 | 0.00 | • | 0.06 | 0.06 | 4 | 0.07 | 6 | 0.07 | 6 | 0.07 | 4 | 0.08 | 4 | 0.06 | 6 | 0.07 | 6 | 0.06 | 6 | 0.07 | 6 | • | • | • | • |
| SYN652-1 | 0.00 | • | 0.07 | 0.07 | 5 | 0.12 | 9 | 1.64 | 9 | 0.11 | 5 | 0.12 | 5 | 5.51 | 9 | 0.15 | 9 | 0.22 | 9 | 0.19 | 9 | • | • | • | • |
| SYN691-1 | 0.00 | • | 0.07 | 0.07 | 5 | 0.09 | 8 | 54.18 | 8 | 0.28 | 8 | 0.46 | 8 | 0.47 | 8 | • | • | • | • | ||||||
| SYN715-1 | 0.00 | • | 0.07 | 0.07 | 5 | 0.08 | 9 | 5.74 | 9 | 0.10 | 9 | 0.14 | 9 | 0.14 | 9 | • | • | • | • | ||||||
| SYN719-1 | 0.00 | • | 0.07 | 0.07 | 3 | 0.07 | 7 | 0.21 | 7 | 0.08 | 7 | 0.08 | 7 | 0.08 | 7 | • | • | • | • | ||||||
| SYN727-1 | 0.00 | • | 0.06 | 0.06 | 1 | 0.06 | 1 | 0.06 | 1 | 0.06 | 1 | 0.06 | 1 | 0.06 | 1 | 0.06 | 1 | • | • | • | • | ||||
| SYN729-1 | 0.00 | • | 0.06 | 0.06 | 5 | 0.06 | 6 | 0.06 | 6 | 0.07 | 5 | 0.07 | 5 | 0.06 | 6 | 0.06 | 6 | 0.06 | 6 | 0.06 | 6 | • | • | • | • |
| SYN731-1 | 0.00 | • | 0.06 | 0.06 | 0 | 0.06 | 0 | 0.06 | 0 | 0.06 | 0 | 0.06 | 0 | 0.06 | 0 | 0.06 | 0 | 0.06 | 0 | 0.06 | 0 | • | • | • | • |
| SYO611-1 | 0.00 | • | 0.06 | 0.06 | 1 | 0.06 | 3 | 0.06 | 3 | 0.06 | 3 | 0.06 | 3 | 0.06 | 3 | • | • | • | |||||||
| SYO612-1 | 0.00 | • | 0.06 | 0.06 | 1 | 0.06 | 13 | 133.17 | 13 | 0.06 | 13 | 0.19 | 13 | 85.88 | 13 | • | • | • | |||||||
| SYO613-1 | 0.00 | • | 0.06 | 0.06 | 1 | 0.06 | 23 | 12.85 | 23 | • | • | • | |||||||||||||
| SYO632-1 | 0.00 | • | 0.06 | 0.06 | 1 | 0.06 | 2 | 0.06 | 2 | 0.06 | 1 | 0.07 | 1 | 0.06 | 2 | 0.06 | 2 | 0.06 | 2 | 0.06 | 2 | • | • | • | |
| SYO633-1 | 0.00 | • | 0.06 | 0.06 | 5 | 0.08 | 20 | 1.81 | 20 | • | • | • | |||||||||||||
| SYO634-1 | 0.00 | • | 0.15 | 0.15 | 10 | • | • | ||||||||||||||||||
| SYO691-1.000 | 0.00 | • | 0.06 | 0.06 | 6 | 0.06 | 9 | 0.83 | 9 | 3.10 | 8 | 3.47 | 8 | 0.32 | 9 | 0.06 | 9 | 0.06 | 9 | 0.06 | 9 | • | • | ||
| SYO691-1.001 | 0.00 | • | 0.07 | 0.07 | 9 | 0.09 | 14 | 0.10 | 14 | 1.79 | 14 | 2,028.29 | 14 | • | |||||||||||
| COL103-2 | 0.25 | • | 0.06 | 0.06 | 0 | 0.11 | 0 | 0.06 | 0 | 0.07 | 0 | 0.06 | 0 | 0.05 | 0 | 0.06 | 0 | 0.06 | 0 | 0.06 | 0 | • | • | • | • |
| LAT271-2 | 0.25 | • | 0.06 | 0.06 | 1 | 0.06 | 2 | 0.06 | 2 | 0.06 | 1 | 0.06 | 1 | 0.06 | 2 | 0.06 | 2 | 0.06 | 2 | 0.06 | 2 | • | • | • | • |
| LCL020-1 | 0.25 | ||||||||||||||||||||||||
| LCL031-1 | 0.25 | ||||||||||||||||||||||||
| LCL037-1 | 0.25 | ||||||||||||||||||||||||
| LCL039-1 | 0.25 | ||||||||||||||||||||||||
| LCL062-1 | 0.25 | ||||||||||||||||||||||||
| LCL074-1 | 0.25 | ||||||||||||||||||||||||
| LCL092-1 | 0.25 | • | 388.45 | 484.75 | 12 | 2,290.85 | 11 | 388.45 | 10 | • | |||||||||||||||
| LCL099-1 | 0.25 | ||||||||||||||||||||||||
| LCL105-1 | 0.25 | ||||||||||||||||||||||||
| LCL119-1 | 0.25 | ||||||||||||||||||||||||
| LCL125-1 | 0.25 | ||||||||||||||||||||||||
| LCL167-1 | 0.25 | ||||||||||||||||||||||||
| LCL210-1 | 0.25 | • | 1.02 | 1.02 | 8 | 35.60 | 13 | 16.84 | 8 | 23.60 | 8 | 545.25 | 13 | 1,412.56 | 13 | 1,475.53 | 13 | • | • | • | • | ||||
| LCL214-1 | 0.25 | • | 0.08 | 0.08 | 5 | 0.28 | 9 | 24.05 | 9 | 0.09 | 5 | 0.10 | 5 | 33.20 | 9 | 0.57 | 9 | 1.04 | 9 | 0.67 | 9 | • | • | • | • |
| LCL217-1 | 0.25 | • | 0.07 | 0.07 | 5 | 0.22 | 9 | 18.37 | 9 | 0.08 | 5 | 0.08 | 5 | 34.29 | 9 | 0.44 | 9 | 0.79 | 9 | 0.52 | 9 | • | • | • | • |
| LCL218-1 | 0.25 | • | 0.10 | 0.10 | 6 | 0.19 | 9 | 3.70 | 8 | 0.21 | 6 | 0.23 | 6 | 1.68 | 8 | 0.37 | 9 | 0.69 | 9 | 0.45 | 9 | • | • | • | • |
| LCL222-1 | 0.25 | ||||||||||||||||||||||||
| LCL227-1 | 0.25 | ||||||||||||||||||||||||
| LCL230-1 | 0.25 | • | 0.65 | 0.65 | 7 | 4.58 | 11 | 444.03 | 10 | 2.90 | 7 | 3.66 | 7 | 977.72 | 10 | 22.61 | 11 | 54.69 | 11 | 35.00 | 11 | • | • | • | • |
| LCL231-1 | 0.25 | • | 0.90 | 0.90 | 7 | 5.68 | 11 | 536.93 | 10 | 3.50 | 7 | 4.38 | 7 | 1,083.93 | 10 | 26.91 | 11 | 61.88 | 11 | 40.62 | 11 | • | • | • | • |
| LCL249-1 | 0.25 | • | • | ||||||||||||||||||||||
| LCL359-1 | 0.25 | • | 0.06 | 0.06 | 3 | 0.06 | 5 | 0.06 | 5 | 0.06 | 3 | 0.06 | 3 | 0.06 | 5 | 0.06 | 5 | 0.06 | 5 | 0.06 | 5 | • | • | • | • |
| LCL365-1 | 0.25 | • | 277.93 | 379.42 | 10 | 277.93 | 9 | 475.40 | 9 | • | |||||||||||||||
| LCL368-1 | 0.25 | ||||||||||||||||||||||||
| LCL369-1 | 0.25 | ||||||||||||||||||||||||
| LCL372-1 | 0.25 | ||||||||||||||||||||||||
| LCL375-1 | 0.25 | ||||||||||||||||||||||||
| LCL376-1 | 0.25 | ||||||||||||||||||||||||
| LCL379-1 | 0.25 | ||||||||||||||||||||||||
| LCL383-1 | 0.25 | ||||||||||||||||||||||||
| LCL388-1 | 0.25 | ||||||||||||||||||||||||
| LCL389-1 | 0.25 | ||||||||||||||||||||||||
| LCL392-1 | 0.25 | ||||||||||||||||||||||||
| LCL393-1 | 0.25 | ||||||||||||||||||||||||
| LCL394-1 | 0.25 | ||||||||||||||||||||||||
| LCL444-2 | 0.25 | ||||||||||||||||||||||||
| MGT002-1 | 0.25 | • | 0.07 | 0.07 | 6 | 9.32 | 19 | 3.31 | 19 | • | • | • | • | ||||||||||||
| MGT017-1 | 0.25 | • | 0.06 | 0.06 | 4 | 0.10 | 23 | 15.32 | 23 | • | • | • | • | ||||||||||||
| NUM017-1 | 0.25 | 163.84 | 163.84 | 7 | |||||||||||||||||||||
| NUM284-1.014 | 0.25 | • | • | ||||||||||||||||||||||
| PLA004-1 | 0.25 | • | 494.94 | 494.94 | 15 | • | • | • | |||||||||||||||||
| PLA004-2 | 0.25 | • | 447.29 | 447.29 | 15 | • | • | • | |||||||||||||||||
| PLA005-1 | 0.25 | • | 995.73 | 995.73 | 16 | • | • | • | |||||||||||||||||
| PLA005-2 | 0.25 | • | 27.23 | 27.23 | 16 | 806.62 | 32 | • | • | • | |||||||||||||||
| PLA009-1 | 0.25 | • | 166.82 | 166.82 | 14 | 2,325.76 | 26 | • | • | • | |||||||||||||||
| PLA009-2 | 0.25 | • | • | • | • | ||||||||||||||||||||
| PLA010-1 | 0.25 | • | • | • | • | ||||||||||||||||||||
| PLA011-1 | 0.25 | • | 2.97 | 2.97 | 14 | 75.74 | 29 | • | • | • | |||||||||||||||
| PLA011-2 | 0.25 | • | 31.94 | 31.94 | 14 | • | • | • | |||||||||||||||||
| PLA012-1 | 0.25 | • | • | • | • | ||||||||||||||||||||
| PLA013-1 | 0.25 | • | 148.14 | 148.14 | 14 | • | • | • | |||||||||||||||||
| PLA014-1 | 0.25 | • | 952.24 | 952.24 | 15 | • | • | • | |||||||||||||||||
| PLA014-2 | 0.25 | • | 123.91 | 123.91 | 15 | • | • | • | |||||||||||||||||
| PLA015-1 | 0.25 | • | • | • | |||||||||||||||||||||
| PLA018-1 | 0.25 | • | • | • | |||||||||||||||||||||
| PLA021-1 | 0.25 | • | 951.45 | 951.45 | 18 | • | • | • | |||||||||||||||||
| PLA023-1 | 0.25 | • | • | • | |||||||||||||||||||||
| RNG004-3 | 0.25 | • | 3.38 | 3.38 | 4 | • | • | • | |||||||||||||||||
| SYN311-1 | 0.25 | • | 0.21 | 1.14 | 13 | 1.53 | 13 | 0.21 | 6 | 0.20 | 6 | 0.22 | 8 | 2.27 | 9 | 0.25 | 8 | • | • | • | |||||
| SYN333-1 | 0.25 | • | 0.06 | 0.06 | 2 | 0.06 | 6 | 0.06 | 6 | 0.06 | 6 | 0.06 | 6 | 0.06 | 6 | • | • | • | • | ||||||
| SYN556-1 | 0.25 | • | 0.25 | 0.25 | 6 | 29.49 | 13 | 79.10 | 13 | 208.92 | 13 | 337.51 | 13 | • | • | • | • | ||||||||
| SYN557-1 | 0.25 | • | 0.06 | 0.06 | 4 | 0.10 | 7 | 0.57 | 7 | 0.57 | 5 | 0.59 | 5 | 1.29 | 7 | 0.11 | 7 | 0.12 | 7 | 0.11 | 7 | • | • | • | • |
| SYN563-1 | 0.25 | • | 0.35 | 4.41 | 7 | 0.35 | 10 | 397.15 | 10 | 1.01 | 10 | 2.01 | 10 | 2.23 | 10 | • | • | • | • | ||||||
| SYN588-1 | 0.25 | • | 0.06 | 0.06 | 2 | 0.06 | 3 | 0.07 | 3 | 0.06 | 3 | 0.07 | 3 | 0.06 | 3 | 0.06 | 3 | • | • | • | • | ||||
| SYN589-1 | 0.25 | • | 0.06 | 0.06 | 2 | 0.06 | 3 | 0.07 | 3 | 0.06 | 3 | 0.06 | 3 | 0.06 | 3 | 0.06 | 3 | • | • | • | • | ||||
| SYN598-1 | 0.25 | • | 0.07 | 0.07 | 4 | 0.08 | 8 | 0.16 | 8 | 0.08 | 8 | 0.08 | 8 | 0.08 | 8 | • | • | • | • | ||||||
| SYN599-1 | 0.25 | • | 0.10 | 0.10 | 5 | 0.10 | 9 | 0.90 | 9 | 0.11 | 9 | 0.12 | 9 | 0.11 | 9 | • | • | • | • | ||||||
| SYN601-1 | 0.25 | • | 0.06 | 0.06 | 5 | 0.13 | 11 | 102.58 | 11 | 0.27 | 11 | 0.57 | 11 | 1.58 | 11 | • | • | • | • | ||||||
| SYN614-1 | 0.25 | • | 6.59 | 6.59 | 6 | 2,008.13 | 14 | • | • | • | • | ||||||||||||||
| SYN616-1 | 0.25 | • | 0.06 | 0.06 | 4 | 0.07 | 9 | 0.45 | 9 | 0.09 | 9 | 0.10 | 9 | 0.10 | 9 | • | • | • | • | ||||||
| SYN617-1 | 0.25 | • | 0.22 | 0.22 | 6 | 0.33 | 10 | 2.47 | 9 | 0.28 | 6 | 0.32 | 6 | 72.50 | 10 | 0.50 | 10 | 0.95 | 10 | 0.80 | 10 | • | • | • | • |
| SYN631-1 | 0.25 | • | 9.71 | 266.80 | 7 | 9.71 | 12 | 1,359.76 | 12 | 18.10 | 12 | 26.91 | 12 | 37.85 | 12 | • | • | • | |||||||
| SYN637-1 | 0.25 | • | 0.06 | 0.06 | 4 | 0.07 | 7 | 0.12 | 7 | 0.07 | 7 | 0.07 | 7 | 0.07 | 7 | • | • | • | • | ||||||
| SYN638-1 | 0.25 | • | 0.06 | 0.06 | 4 | 0.07 | 7 | 0.12 | 7 | 0.07 | 7 | 0.07 | 7 | 0.07 | 7 | • | • | • | • | ||||||
| SYN646-1 | 0.25 | • | 0.08 | 0.08 | 5 | 0.29 | 11 | 74.41 | 11 | 0.91 | 11 | 1.47 | 11 | 2.72 | 11 | • | • | • | • | ||||||
| SYN649-1 | 0.25 | • | 0.07 | 0.07 | 6 | 0.07 | 8 | 0.08 | 8 | 0.81 | 7 | 0.98 | 7 | 0.11 | 8 | 0.07 | 8 | 0.08 | 8 | 0.07 | 8 | • | • | • | • |
| SYN653-1 | 0.25 | • | 0.61 | 202.46 | 8 | 0.61 | 11 | 274.30 | 11 | 780.86 | 11 | 1.26 | 11 | 2.80 | 11 | 6.12 | 11 | • | • | • | |||||
| SYN654-1 | 0.25 | • | 0.16 | 5.00 | 7 | 0.16 | 10 | 17.55 | 10 | 52.41 | 10 | 0.25 | 10 | 0.47 | 10 | 0.64 | 10 | • | • | • | • | ||||
| SYN655-1 | 0.25 | • | 0.16 | 8.19 | 7 | 0.16 | 10 | 17.54 | 10 | 53.40 | 10 | 0.29 | 10 | 0.47 | 10 | 0.64 | 10 | • | • | • | • | ||||
| SYN688-1 | 0.25 | • | 2.28 | 4.31 | 6 | 2.28 | 11 | 481.61 | 11 | 13.85 | 11 | 21.43 | 11 | 29.43 | 11 | • | • | • | • | ||||||
| SYN689-1 | 0.25 | • | 1.65 | 2.85 | 6 | 1.65 | 11 | 411.16 | 11 | 12.23 | 11 | 18.59 | 11 | 25.31 | 11 | • | • | • | • | ||||||
| SYN702-1 | 0.25 | • | 0.06 | 0.06 | 3 | 0.07 | 6 | 0.17 | 6 | 0.07 | 6 | 0.07 | 6 | 0.07 | 6 | • | • | • | • | ||||||
| SYN703-1 | 0.25 | • | 0.08 | 0.08 | 6 | 0.11 | 9 | 171.08 | 9 | 0.44 | 9 | 0.73 | 9 | 0.81 | 9 | • | • | • | • | ||||||
| SYN704-1 | 0.25 | • | 0.06 | 0.06 | 4 | 0.09 | 8 | 36.43 | 8 | 0.19 | 8 | 0.27 | 8 | 0.27 | 8 | • | • | • | • | ||||||
| SYN705-1 | 0.25 | • | 0.08 | 0.08 | 6 | 0.12 | 9 | 172.56 | 9 | 0.41 | 9 | 0.74 | 9 | 0.82 | 9 | • | • | • | • | ||||||
| SYN706-1 | 0.25 | • | 0.07 | 0.07 | 5 | 0.10 | 9 | 6.31 | 9 | 0.13 | 9 | 0.19 | 9 | 0.21 | 9 | • | • | • | • | ||||||
| SYN709-1 | 0.25 | • | 0.07 | 0.07 | 5 | 0.07 | 8 | 0.13 | 8 | 0.07 | 8 | 0.07 | 8 | 0.07 | 8 | • | • | • | • | ||||||
| SYN711-1 | 0.25 | • | 0.06 | 0.06 | 3 | 0.07 | 4 | 0.07 | 4 | 0.07 | 4 | 0.07 | 4 | 0.07 | 4 | 0.07 | 4 | • | • | • | • | ||||
| SYN712-1 | 0.25 | • | 0.07 | 0.07 | 6 | 0.10 | 9 | 102.56 | 9 | 0.30 | 9 | 0.50 | 9 | 0.62 | 9 | • | • | • | • | ||||||
| SYN716-1 | 0.25 | • | 0.06 | 0.06 | 5 | 0.08 | 8 | 4.49 | 8 | 0.10 | 8 | 0.14 | 8 | 0.13 | 8 | • | • | • | • | ||||||
| SYO691-1.002 | 0.25 | 22.04 | 22.04 | 14 | 44.52 | 23 | 87.54 | 23 | |||||||||||||||||
| ANA003-2 | 0.50 | ||||||||||||||||||||||||
| LCL001-1 | 0.50 | ||||||||||||||||||||||||
| LCL028-1 | 0.50 | ||||||||||||||||||||||||
| LCL061-1 | 0.50 | ||||||||||||||||||||||||
| LCL124-1 | 0.50 | ||||||||||||||||||||||||
| LCL253-1 | 0.50 | • | 58.80 | 58.80 | 10 | • | • | ||||||||||||||||||
| LCL374-1 | 0.50 | ||||||||||||||||||||||||
| LCL377-1 | 0.50 | ||||||||||||||||||||||||
| LCL395-1 | 0.50 | ||||||||||||||||||||||||
| LCL417-2 | 0.50 | ||||||||||||||||||||||||
| LCL428-1 | 0.50 | ||||||||||||||||||||||||
| LCL875-1 | 0.50 | ||||||||||||||||||||||||
| PLA008-1 | 0.50 | • | • | • | • | ||||||||||||||||||||
| PUZ050-1 | 0.50 | ||||||||||||||||||||||||
| SWV014-1 | 0.50 | • | • | • | • | ||||||||||||||||||||
| SYN600-1 | 0.50 | • | 2.80 | 2.80 | 7 | 1,371.14 | 14 | • | • | • | • | ||||||||||||||
| SYN615-1 | 0.50 | • | 40.12 | 40.12 | 7 | • | • | • | |||||||||||||||||
| SYN639-1 | 0.50 | • | 0.07 | 0.07 | 5 | 0.69 | 12 | 642.97 | 12 | 4.63 | 12 | 8.40 | 12 | 32.40 | 12 | • | • | • | • | ||||||
| SYN640-1 | 0.50 | • | 0.07 | 0.07 | 5 | 0.70 | 12 | 641.34 | 12 | 4.65 | 12 | 8.39 | 12 | 32.38 | 12 | • | • | • | • | ||||||
| SYN647-1 | 0.50 | • | 0.07 | 0.07 | 5 | 0.28 | 11 | 74.33 | 11 | 0.88 | 11 | 1.47 | 11 | 2.72 | 11 | • | • | • | • | ||||||
| SYN707-1 | 0.50 | • | 4.58 | 4.58 | 6 | 23.98 | 12 | 148.56 | 12 | 231.91 | 12 | 470.67 | 12 | • | • | • | • | ||||||||
| SYN708-1 | 0.50 | • | 4.58 | 4.58 | 6 | 23.55 | 12 | 147.51 | 12 | 232.04 | 12 | 470.22 | 12 | • | • | • | • | ||||||||
| SYN982-1 | 0.50 | • | • | • | |||||||||||||||||||||
| LCL063-1 | 0.75 | ||||||||||||||||||||||||
| LCL109-1 | 0.75 | ||||||||||||||||||||||||
| LCL417-1 | 0.75 | ||||||||||||||||||||||||
| LCL422-1 | 0.75 | ||||||||||||||||||||||||
| LCL423-1 | 0.75 | ||||||||||||||||||||||||
| LCL927-1 | 0.75 | ||||||||||||||||||||||||
| LCL928-1 | 0.75 | ||||||||||||||||||||||||
| LCL929-1 | 0.75 | ||||||||||||||||||||||||
| GEO001-4 | 1.00 | ||||||||||||||||||||||||
| LCL419-1 | 1.00 | ||||||||||||||||||||||||
| LCL420-1 | 1.00 | ||||||||||||||||||||||||
| LCL421-1 | 1.00 | ||||||||||||||||||||||||
| LCL424-1 | 1.00 | ||||||||||||||||||||||||
| LCL425-1 | 1.00 | ||||||||||||||||||||||||
| LCL426-1 | 1.00 | ||||||||||||||||||||||||
| LCL427-1 | 1.00 | ||||||||||||||||||||||||
| LCL926-1 | 1.00 | ||||||||||||||||||||||||
| ROB025-1 | 1.00 | ||||||||||||||||||||||||
| SYO691-1.003 | 1.00 | ||||||||||||||||||||||||
| SYO691-1.004 | 1.00 | ||||||||||||||||||||||||
| SYO691-1.005 | 1.00 | ||||||||||||||||||||||||
| Problem | Rating | CM-TABX | H-1-5 | H-1 | H-2 | H-3 | H-4 | H-5 | H-6 | H-7 | H-8 | H-9 | CMProver | SETHEOs | lazyCop 0.1 | SATCop 0.1 | |||||||||
| Totals of 562: | 430 | 421 | 413 | 390 | 250 | 239 | 236 | 327 | 365 | 355 | 351 | 414 | 387 | 338 | 394 | ||||||||||